ABA


"עזרה בתרגיל ב-Java"
גירסת הדפסה        
קבוצות דיון פיתוח, תיכנות ובניית אתרים נושא #11062 מנהל    סגן המנהל    מפקח   Winner    צל"ש   מומחה  
אשכול מספר 11062
moshiko17
חבר מתאריך 15.7.09
285 הודעות, דרג אמינות חבר זה
   00:51   10.12.12   
אל הפורום  
  עזרה בתרגיל ב-Java  
 
   ערכתי לאחרונה בתאריך 10.12.12 בשעה 00:54 בברכה, moshiko17
 
שלום לכולם,
נתנו לי לעשות תרגיל בג'אווה לחשב טור טיילור מסוג e^x
המשתמש מזין n ו-x והוא צריך לקבל פלט של כל הטור+התוצאה הסופית.
הצלחתי עד כה לחשב את המונה ואת המכנה אבל אני לא מצליח לגרום ללואה להדפיס בכל פעם את התוצאה שמתקבלת מכל פעם שהלולאה רצה אלא אני מקבל את החישוב הסופי וזה נותן לי מספר מאוד קטן.

להלן הקוד שאני כתבתי עד כה:

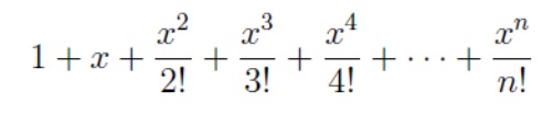
ולהלן הנוסחא לחישוב טור מקלורן מסוג e^x:

ולהלן הפלט הנכון שאני רוצה להגיע אליו:
לדוגמא: בהינתן n=5 ו- x=3 ,יודפס למסך הפלט הבא (חמשת האיברים הראשונים של הסידרה):
e^3= 1 + 3 + 9/2 + 27/6 + 81/24 = 16.375

היכן אני ממקם את הפלט לתוכנית??

תודה מראש!!


                                שתף        
מכתב זה והנלווה אליו, על אחריות ועל דעת הכותב בלבד

  האשכול     מחבר     תאריך כתיבה     מספר  
  אפשר לנעול. הסתדרתי כבר. moshiko17 10.12.12 20:17 1

       
moshiko17
חבר מתאריך 15.7.09
285 הודעות, דרג אמינות חבר זה
   20:17   10.12.12   
אל הפורום  
  1. אפשר לנעול. הסתדרתי כבר.  
בתגובה להודעה מספר 0
 
  


                                                         (ניהול: מחק תגובה)
מכתב זה והנלווה אליו, על אחריות ועל דעת הכותב בלבד

תגובה מהירה  למכתב מספר: 
 
___________________________________________________________________

___________________________________________________________________
למנהלים:  נעל | תייק בארכיון | מחק | העבר לפורום אחר | מחק תגובות | עגן אשכול
       



© כל הזכויות שמורות ל-רוטר.נט בע"מ rotter.net