לכל קו ישר יש משוואת ישר כדוגמת y= 2x+1אתה יכול לבדוק האם הנקודה (x,y) נמצאת עליו ע"י הצבת הנקודה במשוואה.
אם מתקבל לך פסוק אמת, לדוגמא 1=1, אז היא נמצאת עליו
אם לא אז לא.
לדוגמא (0,1) נמצאת על הקו שתיארתי, כי אם תציב תקבל 0=0
ולדוגמא אחרת (0,0) לא נמצא על הקו, תציב תקבל 0=1
לפי המפרט של svg מגדירים ישר ע"י 2 נקודות
<line x1="20" y1="100"
x2="100" y2="20"
stroke="black"
stroke-width="2"/>
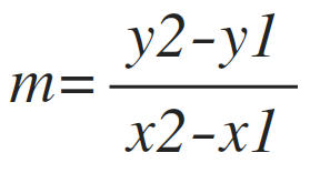
לכן, משתי הנקודות הללו, אתה יכול לבנות את משוואת הישר ע"י
http://aviv.ort.org.il/InAttach/b8ebd04c-4fd4-40ec-8bd0-f5757438e463/b335a97a-8b1a-45bf-9800-a6fa113577d1.jpg
http://4.bp.blogspot.com/-jhBx1CLmnDI/UiXfC3vRWjI/AAAAAAAALRA/HfTqia_kiow/w288-h156-no/daum_equation_1378136314578.png
