ABA


"מתמטיקה בדידה - עזרה בפונקציות יוצרות"
גירסת הדפסה        
קבוצות דיון לימודים, מדע ותרבות נושא #10113 מנהל    סגן המנהל    מפקח   Winner    צל"ש   מומחה  
אשכול מספר 10113
D-KinG
חבר מתאריך 8.6.02
3490 הודעות
   16:19   08.04.10   
אל הפורום  
  מתמטיקה בדידה - עזרה בפונקציות יוצרות  
 
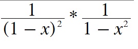
   לא הצלחתי להבין את כל הקטע של המציאת קבועים הזה שעוזר במציאת מקדמים בכפל...
למשל ב-:
http://rotter.name/User_files/nor/graphics/4bbdd7bb02820549.jpg

אני צריך למצוא את המקדם של x^n, אם מישהו יכול להסביר...
תודה


                                שתף        
מכתב זה והנלווה אליו, על אחריות ועל דעת הכותב בלבד

  האשכול     מחבר     תאריך כתיבה     מספר  
  קודם כל אתה צריך לבצע ufo  08.04.10 23:49 1
     סבבה.. רק איך הגעת ל-C כפול 2 בחזקת n כפול n+1? D-KinG 09.04.10 00:14 2
         אז ככה... ufo  09.04.10 12:02 3
             וואלה D-KinG 09.04.10 12:16 4
                 אז עכשיו אתה יודע... ufo  09.04.10 13:28 5
                     סבבה... יש עוד איזה טריקים כאלה? D-KinG 12.04.10 15:11 6
                         התקלת אותי... ufo  12.04.10 17:42 7
                             חח סבבה :) תודה בכ''א D-KinG 12.04.10 18:35 8
                             בסוף פתרתי מערכת של 4 משוואות... מגעיל אבל יוצא בסוף :) D-KinG 13.04.10 23:25 9
                                 אחלה...:) ufo  14.04.10 11:11 10

       
ufo  לחץ כאן להצגת דירוג המשתמש
חבר מתאריך 18.3.02
2725 הודעות, 2 פידבק
   23:49   08.04.10   
אל הפורום  
  1. קודם כל אתה צריך לבצע  
בתגובה להודעה מספר 0
 
   חלוקה לשברים פשוטים כלומר הפונקציה שיצאה לך למעשה ניתנת לתיאור כך:

A/(1-x) + B/(1-2x) + c/(1-2x)^2

תצטרך למצוא את A,B,C שמקיימים זאת - אני מניח שאתה יודע איך לעשות את זה.
לאחר מכן תוכל לחשב את המקדם של x^n על ידי החישוב של הסדרה הנוצרת כאשר הסדרה למעשה היא:
ה-A שיצא לך כפול 1
ה-B שיצא לך כפול 2 בחזקת n
ה-C שיצא לך כפול 2 בחזקת n כפול n+1


                                                         (ניהול: מחק תגובה)
מכתב זה והנלווה אליו, על אחריות ועל דעת הכותב בלבד
D-KinG
חבר מתאריך 8.6.02
3490 הודעות
   00:14   09.04.10   
אל הפורום  
  2. סבבה.. רק איך הגעת ל-C כפול 2 בחזקת n כפול n+1?  
בתגובה להודעה מספר 1
 
   ובכלל איך מוצאים את הקבועים?
ממה שאני הבנתי משווים את מה שהראית לפונ' המקורית, עושים לזה מכנה משותף ואז מציבים איזה X-ים שבא לי בשני הצדדים (כולל כאלו שמאפסים את המכנה?)בשביל ליצור מערכת של 3 משוואות לינאריות ולפתור? או שתמיד אפשר להציב X-ים שיאפסו חלק מה-A/B/C?


                                                         (ניהול: מחק תגובה)
מכתב זה והנלווה אליו, על אחריות ועל דעת הכותב בלבד
ufo  לחץ כאן להצגת דירוג המשתמש
חבר מתאריך 18.3.02
2725 הודעות, 2 פידבק
   12:02   09.04.10   
אל הפורום  
  3. אז ככה...  
בתגובה להודעה מספר 2
 
   ערכתי לאחרונה בתאריך 09.04.10 בשעה 12:05 בברכה, ufo
 
איך מוצאים את הקבועים:
משווים את מה שרשמתי לפונקציה המקורית, מכפילים במכנה המקורי ובכך למעשה אנחנו מבטלים את קיומו של המכנה!
משם יש לנו שתי אפשרויות:
- לעשות השוואה מקדמים
- להשתמש בשיטת ההצבה ולהציב X-ים שמאפסים חלק מה-A/B/C.

איך הגעתי ל-C כפול 2 בחזקת n כפול n+1 :
ידוע שהסדרה הנוצרת ע"י


1/(1-Dx)^T

היא D בחזקת n כפול n+T-1 מעל t-1. (יש לנו פה שילוב למעשה של נוסחת הבינום השלילי וגם כפל בקבוע)
במקרה שלנו D,T=2 אז יוצא לנו C (הקבוע שלנו) כפול 2 בחזקת n כפול n+1.


                                                         (ניהול: מחק תגובה)
מכתב זה והנלווה אליו, על אחריות ועל דעת הכותב בלבד
D-KinG
חבר מתאריך 8.6.02
3490 הודעות
   12:16   09.04.10   
אל הפורום  
  4. וואלה  
בתגובה להודעה מספר 3
 
   לא ידעתי שאפשר לשלב בין ביינום השלילי וכפל בקבוע
ומה אתה מתכוון בלעשות השוואת מקדמים בשביל למצוא את הקבועים?
תודה


                                                         (ניהול: מחק תגובה)
מכתב זה והנלווה אליו, על אחריות ועל דעת הכותב בלבד
ufo  לחץ כאן להצגת דירוג המשתמש
חבר מתאריך 18.3.02
2725 הודעות, 2 פידבק
   13:28   09.04.10   
אל הפורום  
  5. אז עכשיו אתה יודע...  
בתגובה להודעה מספר 4
 
   לגבי ההשוואת מקדמים:
אתה מכפיל במכנה המקורי ולמעשה מבטל אותו.
פותח את כל הסוגריים ואז מה שייצא לך בסוף זו המשוואה הבאה:

1 = (-2A+2B)X^2 + (-3B-C)X + A +C

ואז עושים השוואת מקדמים - המקדם של X^2 הוא 0 כי באגף שמאל אין לנו בכלל x^2 כלומר 2A+2B=0-
המקדם של X הוא 0 כי באגף שמאל אין לנו בכלל X כלומר 3B-C=0-
המקדם החופשי ( A+C ) שווה לאחד.
יוצאות לך שלוש משוואות בשלושה נעלמים ואתה פותר אותן וכך מוצא את הקבועים.
שיטת ההצבה בה אתה מציב X-ים ומאפס פשוטה הרבה יותר ויש בה פחות מקום לטעויות ועליה אני ממליץ שתשתמש.


                                                         (ניהול: מחק תגובה)
מכתב זה והנלווה אליו, על אחריות ועל דעת הכותב בלבד
D-KinG
חבר מתאריך 8.6.02
3490 הודעות
   15:11   12.04.10   
אל הפורום  
  6. סבבה... יש עוד איזה טריקים כאלה?  
בתגובה להודעה מספר 5
 
   נגיד יש לי את הביטוי
http://rotter.name/User_files/nor/graphics/4bc30de13538d391.jpg
אז אם אני מציב x=1 הכל מתאפס לי וזה לא טוב.. מה אפשר לעשות במקרה כזה?


                                                         (ניהול: מחק תגובה)
מכתב זה והנלווה אליו, על אחריות ועל דעת הכותב בלבד
ufo  לחץ כאן להצגת דירוג המשתמש
חבר מתאריך 18.3.02
2725 הודעות, 2 פידבק
   17:42   12.04.10   
אל הפורום  
  7. התקלת אותי...  
בתגובה להודעה מספר 6
 
   אנחנו יודעים שהשמאלית יוצרת לנו את הסדרה: n+1.
אנחנו יודעים שהימנית יוצרת לנו את הסדרה: אם n זוגי 1 אם n אי זוגי 0.

לגבי ההמשך אינני בטוח ולכן אני מציע שתתייעץ עם מישהו שלומד איתך


                                                         (ניהול: מחק תגובה)
מכתב זה והנלווה אליו, על אחריות ועל דעת הכותב בלבד
D-KinG
חבר מתאריך 8.6.02
3490 הודעות
   18:35   12.04.10   
אל הפורום  
  8. חח סבבה :) תודה בכ''א  
בתגובה להודעה מספר 7
 
  


                                                         (ניהול: מחק תגובה)
מכתב זה והנלווה אליו, על אחריות ועל דעת הכותב בלבד
D-KinG
חבר מתאריך 8.6.02
3490 הודעות
   23:25   13.04.10   
אל הפורום  
  9. בסוף פתרתי מערכת של 4 משוואות... מגעיל אבל יוצא בסוף :)  
בתגובה להודעה מספר 7
 
  


                                                         (ניהול: מחק תגובה)
מכתב זה והנלווה אליו, על אחריות ועל דעת הכותב בלבד
ufo  לחץ כאן להצגת דירוג המשתמש
חבר מתאריך 18.3.02
2725 הודעות, 2 פידבק
   11:11   14.04.10   
אל הפורום  
  10. אחלה...:)  
בתגובה להודעה מספר 9
 
  


                                                         (ניהול: מחק תגובה)
מכתב זה והנלווה אליו, על אחריות ועל דעת הכותב בלבד

תגובה מהירה  למכתב מספר: 
 
___________________________________________________________________

___________________________________________________________________
למנהלים:  נעל | תייק בארכיון | מחק | העבר לפורום אחר | מחק תגובות | עגן אשכול
       



© כל הזכויות שמורות ל-רוטר.נט בע"מ rotter.net