ABA


"עזרה במשוואה דיפרנציאלית"
גירסת הדפסה        
קבוצות דיון לימודים, מדע ותרבות נושא #10916 מנהל    סגן המנהל    מפקח   Winner    צל"ש   מומחה  
אשכול מספר 10916
eminem
חבר מתאריך 14.11.03
4348 הודעות, 1 פידבק
   15:05   29.04.11   
אל הפורום  
  עזרה במשוואה דיפרנציאלית  
 
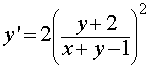
   נתעקתי על איזו שאלה בנושא די פשוט, לא נראה לי משהו מורכב אבל אני לא מצליח לפתור
אפילו רק דרך תהיה טובה או הכוונה יהיה טוב

http://rotter.name/User_files/nor/4dbaa995060807fe.gif


                                שתף        
מכתב זה והנלווה אליו, על אחריות ועל דעת הכותב בלבד

  האשכול     מחבר     תאריך כתיבה     מספר  
  מכתב The Slayer  29.04.11 15:32 1
     אבל עצם העובדם eminem 29.04.11 15:39 2
         לא אמור להפריע ננסה The Slayer  29.04.11 15:44 3
             טוב נראה לי שהצלחתי פתרתי לפי eminem 29.04.11 15:56 4
                 אפשר גם ...פתרתי עכשיו רגיל עם הומוגנית The Slayer  29.04.11 16:03 5
                     כן, תודה בכל אופן, אגב מישהו כבר העלה אצלכם eminem 29.04.11 16:14 6
                         לא העלו The Slayer  29.04.11 16:19 7
                             משהו קטן... eminem 29.04.11 16:31 8
                                 מכתב The Slayer  29.04.11 16:40 9
                                     שוב לגבי 14 eminem 29.04.11 16:58 10
                                         כן בגלל שהנגזרות החלקיות רציפות The Slayer  29.04.11 17:16 11

       
The Slayer 
חבר מתאריך 29.4.03
7959 הודעות, 2 פידבק
   15:32   29.04.11   
אל הפורום  
  1. מכתב  
בתגובה להודעה מספר 0
 
   תעשה הזזת משתנים Y=y+2 X=x-3
ואז אתה מקבל משוואה הומגנית
ואז פה אפשר לפתור לפי השיטה למשוואה הומוגנית או לפי משוואת ברנולי


                                                         (ניהול: מחק תגובה)
מכתב זה והנלווה אליו, על אחריות ועל דעת הכותב בלבד
eminem
חבר מתאריך 14.11.03
4348 הודעות, 1 פידבק
   15:39   29.04.11   
אל הפורום  
  2. אבל עצם העובדם  
בתגובה להודעה מספר 1
 
   ערכתי לאחרונה בתאריך 29.04.11 בשעה 15:44 בברכה, eminem
 
שכל הביטוי בעצם בחזקה שנייה מפריע לפתור את זה באופן הומוגני/ברנולי
לא?


                                                         (ניהול: מחק תגובה)
מכתב זה והנלווה אליו, על אחריות ועל דעת הכותב בלבד
The Slayer 
חבר מתאריך 29.4.03
7959 הודעות, 2 פידבק
   15:44   29.04.11   
אל הפורום  
  3. לא אמור להפריע ננסה  
בתגובה להודעה מספר 2
 
   ערכתי לאחרונה בתאריך 29.04.11 בשעה 15:49 בברכה, The Slayer
 


                                                         (ניהול: מחק תגובה)
מכתב זה והנלווה אליו, על אחריות ועל דעת הכותב בלבד
eminem
חבר מתאריך 14.11.03
4348 הודעות, 1 פידבק
   15:56   29.04.11   
אל הפורום  
  4. טוב נראה לי שהצלחתי פתרתי לפי  
בתגובה להודעה מספר 3
 
   משוואה הומוגנית
הפריע לי שם החזקה השניה אבל עכשיו עשיתי משוואה הפוכה דרך x ולא דרך y

תודה על העזרה


                                                         (ניהול: מחק תגובה)
מכתב זה והנלווה אליו, על אחריות ועל דעת הכותב בלבד
The Slayer 
חבר מתאריך 29.4.03
7959 הודעות, 2 פידבק
   16:03   29.04.11   
אל הפורום  
  5. אפשר גם ...פתרתי עכשיו רגיל עם הומוגנית  
בתגובה להודעה מספר 4
 
   יצא לי איזה ביטוי עם ארכטנגנס ועוד הרבה שטויות


                                                         (ניהול: מחק תגובה)
מכתב זה והנלווה אליו, על אחריות ועל דעת הכותב בלבד
eminem
חבר מתאריך 14.11.03
4348 הודעות, 1 פידבק
   16:14   29.04.11   
אל הפורום  
  6. כן, תודה בכל אופן, אגב מישהו כבר העלה אצלכם  
בתגובה להודעה מספר 5
 
   איזה פתרונות לעבודה של חדוא 2?


                                                         (ניהול: מחק תגובה)
מכתב זה והנלווה אליו, על אחריות ועל דעת הכותב בלבד
The Slayer 
חבר מתאריך 29.4.03
7959 הודעות, 2 פידבק
   16:19   29.04.11   
אל הפורום  
  7. לא העלו  
בתגובה להודעה מספר 6
 
   אבל סיימתי אותה אם אתה צריך משהו..
רק שאלה 3ג שזה גליל אליפטי לא ממש ידעתי איך להראות את זה
שאלתי את המרצה והוא התחיל לפתור עם מטריצה וערכים עצמיים
לא הבנתי כלכך איך זה קשור
בדקתי בתוכנה ואני באמת רואה שזה גליל אליפטי רק שהוא יוצא מסובב


                                                         (ניהול: מחק תגובה)
מכתב זה והנלווה אליו, על אחריות ועל דעת הכותב בלבד
eminem
חבר מתאריך 14.11.03
4348 הודעות, 1 פידבק
   16:31   29.04.11   
אל הפורום  
  8. משהו קטן...  
בתגובה להודעה מספר 7
 
   14 ב'

מצד אחד הוא אמר שסדר הגיזרה אינו משנה אבל עובדה לפי א' זה לא שווה

אז איך עושים את זה? לא אמורים לדעתי לגזור את זה 7 פעמים

וגם 18 בכללי איך צריך לגשת לתרגיל הזה


                                                         (ניהול: מחק תגובה)
מכתב זה והנלווה אליו, על אחריות ועל דעת הכותב בלבד
The Slayer 
חבר מתאריך 29.4.03
7959 הודעות, 2 פידבק
   16:40   29.04.11   
אל הפורום  
  9. מכתב  
בתגובה להודעה מספר 8
 
   14 אפשר להראות באינדוקציה או פשוט להסביר במילים
שנגזרת של מנה של פולינומים תמיד תהיה פולינום במונה ובמכנה יהיה הפולינום של המכנה בחזקה כלשהיא
בנקודות שמבקשים יש רציפות בנגזרות החלקיות ומזה השיוויון

18 הפונקציה והנגזרת לפי Z רציפות
בנקודה הזאת ערך הפוקציה 0 ובנזגרת לפי Z הערך שונה מ0
זה אומר שZ מקיימת פונקציה סתומה בסביבת הנקודה הזאת

Z'x =-(df/dx)/(df/dz
Z''xy
צריך לגזור את הנגזרת של Z'x לפי Y ולא לשכח שZ היא פונקציה של X וY


                                                         (ניהול: מחק תגובה)
מכתב זה והנלווה אליו, על אחריות ועל דעת הכותב בלבד
eminem
חבר מתאריך 14.11.03
4348 הודעות, 1 פידבק
   16:58   29.04.11   
אל הפורום  
  10. שוב לגבי 14  
בתגובה להודעה מספר 9
 
   לא הבנתי איך הנימוק הזה מוכיח שדווקא בנקודה הזאת יש קיום?

רק בגלל שיתקיים רציפיות אז מכן כבר סדר הגזירה איננו משנה?

ובא' זה לא מתקיים כי לא היה רציפות?


                                                         (ניהול: מחק תגובה)
מכתב זה והנלווה אליו, על אחריות ועל דעת הכותב בלבד
The Slayer 
חבר מתאריך 29.4.03
7959 הודעות, 2 פידבק
   17:16   29.04.11   
אל הפורום  
  11. כן בגלל שהנגזרות החלקיות רציפות  
בתגובה להודעה מספר 10
 
   סדר הגזירה אינו משנה


                                                         (ניהול: מחק תגובה)
מכתב זה והנלווה אליו, על אחריות ועל דעת הכותב בלבד

תגובה מהירה  למכתב מספר: 
 
___________________________________________________________________

___________________________________________________________________
למנהלים:  נעל | תייק בארכיון | מחק | העבר לפורום אחר | מחק תגובות | עגן אשכול
       



© כל הזכויות שמורות ל-רוטר.נט בע"מ rotter.net