ערכתי לאחרונה בתאריך 04.05.11 בשעה 19:22 בברכה, ThE-RaPeR
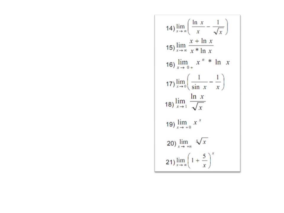
גם במקרה יוצא שם אחד נכון ?זה רק פשוט e^lnx^1\x
ואז אני עושה e^lnx *1\x
וזה גם יוצא לי אינסוף חלקי אינסוף אז אני יכול לעשות לופיטל
גוזר מונה וגוזר מכנה ויוצא לי .
e^(1\x)
מציב ויוצא לי e^0 = 1 
וואי תודה על השיטה אחלה שיטה...
עמית,
