ABA


"|עזרה| צריך הוכחה לנוסחא מתמטית"
גירסת הדפסה        
קבוצות דיון לימודים, מדע ותרבות נושא #10966 מנהל    סגן המנהל    מפקח   Winner    צל"ש   מומחה  
אשכול מספר 10966
_Poseidon_ 
חבר מתאריך 1.9.02
976 הודעות
   14:33   04.06.11   
אל הפורום  
  |עזרה| צריך הוכחה לנוסחא מתמטית  
 
   נתון:
http://rotter.name/User_files/nor/4dea17ec6719034b.gif


פתרון סופי:
http://rotter.name/User_files/nor/4dea18146835b693.jpg


תודה שפיצים


                                שתף        
מכתב זה והנלווה אליו, על אחריות ועל דעת הכותב בלבד

  האשכול     מחבר     תאריך כתיבה     מספר  
  תפתח סוגריים ותכנס איברים. Deuce  04.06.11 14:39 1
     לכיוון הזה הצלחתי _Poseidon_  04.06.11 14:41 2
         הוא הוכיח לך שוויון (2 כיוונים), תקרא מהסוף להתחלה Nokia 04.06.11 15:15 3
         אין לשיוויון כיוון שני. ShocKi  04.06.11 19:13 7
  בבקשה Eylon 04.06.11 15:28 4
     את זה חיפשתי =] תודה לך _Poseidon_  04.06.11 15:33 5
         בבקשה:-) Eylon 04.06.11 15:34 6
  תקרא את זה , זה הבינום של ניוטון. Yariv-H 09.06.11 09:22 8

       
Deuce 
חבר מתאריך 1.9.08
6225 הודעות
   14:39   04.06.11   
אל הפורום  
  1. תפתח סוגריים ותכנס איברים.  
בתגובה להודעה מספר 0
 
  

(a+b)^3 = (a+b)*(a+b)^2 = (a+b)(a^2+2ab+b^2) =
= a^3 + 2a^2b + ab^2 + a^2b + 2ab^2 + b^3 =
= a^3 + 3a^2b + 3ab^2 + b^3


                                                         (ניהול: מחק תגובה)
מכתב זה והנלווה אליו, על אחריות ועל דעת הכותב בלבד
_Poseidon_ 
חבר מתאריך 1.9.02
976 הודעות
   14:41   04.06.11   
אל הפורום  
  2. לכיוון הזה הצלחתי  
בתגובה להודעה מספר 1
 
   בכוונה רשמתי מה נתון ומה הפתרון.
צריך להוכיח את הכיוון השני


                                                         (ניהול: מחק תגובה)
מכתב זה והנלווה אליו, על אחריות ועל דעת הכותב בלבד
Nokia
חבר מתאריך 1.7.02
538 הודעות
   15:15   04.06.11   
אל הפורום  
  3. הוא הוכיח לך שוויון (2 כיוונים), תקרא מהסוף להתחלה  
בתגובה להודעה מספר 2
 
  


                                                         (ניהול: מחק תגובה)
מכתב זה והנלווה אליו, על אחריות ועל דעת הכותב בלבד
ShocKi  לחץ כאן להצגת דירוג המשתמש
חבר מתאריך 19.3.02
20215 הודעות, 10 פידבק
   19:13   04.06.11   
אל הפורום  
  7. אין לשיוויון כיוון שני.  
בתגובה להודעה מספר 2
 
   זו לא טענת אם ורק אם שאותה צריך להוכיח ב-2 כיוונים.

אם הוכחת שמשוואה מתקיימת אז היא מתקיימת מלמטה למעלה ומלמעלה למטה. זה אותו דבר.


                                                         (ניהול: מחק תגובה)
מכתב זה והנלווה אליו, על אחריות ועל דעת הכותב בלבד
Eylon
חבר מתאריך 18.3.02
18139 הודעות
   15:28   04.06.11   
אל הפורום  
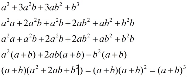
  4. בבקשה  
בתגובה להודעה מספר 0
 
   http://rotter.name/User_files/nor/4dea25022838aac8.jpg


                                                         (ניהול: מחק תגובה)
מכתב זה והנלווה אליו, על אחריות ועל דעת הכותב בלבד
_Poseidon_ 
חבר מתאריך 1.9.02
976 הודעות
   15:33   04.06.11   
אל הפורום  
  5. את זה חיפשתי =] תודה לך  
בתגובה להודעה מספר 4
 
  


                                                         (ניהול: מחק תגובה)
מכתב זה והנלווה אליו, על אחריות ועל דעת הכותב בלבד
Eylon
חבר מתאריך 18.3.02
18139 הודעות
   15:34   04.06.11   
אל הפורום  
  6. בבקשה:-)  
בתגובה להודעה מספר 5
 
  


                                                         (ניהול: מחק תגובה)
מכתב זה והנלווה אליו, על אחריות ועל דעת הכותב בלבד
Yariv-H לחץ כאן להצגת דירוג המשתמש
חבר מתאריך 24.3.02
5879 הודעות, 1 פידבק
   09:22   09.06.11   
אל הפורום  
  8. תקרא את זה , זה הבינום של ניוטון.  
בתגובה להודעה מספר 0
 
   http://he.wikipedia.org/wiki/%D7%94%D7%91%D7%99%D7%A0%D7%95%D7%9D_%D7%A9%D7%9C_%D7%A0%D7%99%D7%95%D7%98%D7%95%D7%9F

יש לך שם הסבר גם איך להגיע לכול מקרה כללי ולמה זה.


                                                         (ניהול: מחק תגובה)
מכתב זה והנלווה אליו, על אחריות ועל דעת הכותב בלבד

תגובה מהירה  למכתב מספר: 
 
___________________________________________________________________

___________________________________________________________________
למנהלים:  נעל | תייק בארכיון | מחק | העבר לפורום אחר | מחק תגובות | עגן אשכול
       
דרג לפי חשיבות הנושא  דרג לפי חשיבות הנושא   



© כל הזכויות שמורות ל-רוטר.נט בע"מ rotter.net