יומן פעילות
לוח שנה
מבזקי חדשות
תקנון
RSS
כותרות
כותרות לפי תגובה
ניקוי קוקיז
IP
להורדת אפליקציה
בחר פורום
שיחות
ביטקוין ומטבעות קריפטו
כושר ופיתוח גוף
לימודים
צרכנות
הרגע קניתי
שיווק שותפים
כלכלה
בני ה-20
מודיעין
משחקים
תוכנה
חומרה
תיכנות
סמארטפונים
Downloads
שיתוף
מוזיקה
סרטים
צילום
מוטוריקה
לובי
"שאלה כללית בחדווא 2"
גירסת הדפסה
קבוצות דיון
לימודים, מדע ותרבות
נושא #10987
מנהל
סגן המנהל
מפקח
Winner
צל"ש
מומחה
אשכול מספר 10987
Spitze
חבר מתאריך 17.5.04
911 הודעות
21:34
25.06.11
שאלה כללית בחדווא 2
לא בשבילי
השאלה 4 בתמונה
http://rotter.name/User_files/nor/4e062a402c816150.jpg
שתף
ציוץ
מכתב זה והנלווה אליו, על אחריות ועל דעת הכותב בלבד
האשכול
מחבר
תאריך כתיבה
מספר
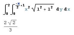
תציב באינטרגל את הערך של Z
The Slayer
26.06.11
00:23
1
The Slayer
חבר מתאריך 29.4.03
8356 הודעות
,
2 פידבק
00:23
26.06.11
1. תציב באינטרגל את הערך של Z
בתגובה להודעה מספר 0
הגבולות הן X מ0 ל2 וY מ0 למה שנתון
מטילים את המישור על מישור X Y ומכפילים בגודל של הגרדיאנט
http://rotter.name/User_files/nor/4e0651cb1d409084.jpg
(ניהול: מחק תגובה)
מכתב זה והנלווה אליו, על אחריות ועל דעת הכותב בלבד
תגובה מהירה
למכתב מספר:
0 - הכותרת
1
___________________________________________________________________
___________________________________________________________________
למנהלים:
נעל
|
תייק בארכיון
|
מחק
|
העבר לפורום אחר
|
מחק תגובות
|
עגן אשכול
דרג לפי חשיבות הנושא
בחר פורום
שיחות
ביטקוין ומטבעות קריפטו
כושר ופיתוח גוף
לימודים
צרכנות
הרגע קניתי
כלכלה
בני ה-20
מודיעין
משחקים
תוכנה
חומרה
תיכנות
סמארטפונים
Downloads
שיתוף
מוזיקה
סרטים
צילום
מוטוריקה
לובי
© כל הזכויות שמורות ל-רוטר.נט בע"מ
rotter.net