ABA


"|עזרה| שאלה פשוטה בקשר לזווית בין שני ווקטורים"
גירסת הדפסה        
קבוצות דיון לימודים, מדע ותרבות נושא #10995 מנהל    סגן המנהל    מפקח   Winner    צל"ש   מומחה  
אשכול מספר 10995
eminem
חבר מתאריך 14.11.03
4348 הודעות, 1 פידבק
   16:24   29.06.11   
אל הפורום  
  |עזרה| שאלה פשוטה בקשר לזווית בין שני ווקטורים  
 
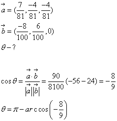
   http://rotter.name/User_files/nor/4e0b273d3f6628e0.gif

השאלה שלי היא למה בסוף צריך לעשות 180 מעלות פחות הזווית? אני זוכר שזה קשור משהו בכיוונים של הווקטורים, אם רק מישהו יכול להזכיר לי איך בודקים
את העניין הזה


                                שתף        
מכתב זה והנלווה אליו, על אחריות ועל דעת הכותב בלבד

  האשכול     מחבר     תאריך כתיבה     מספר  
  לא צריך. רק בטנגנס לפעמים צריך. Yoni 29.06.11 22:47 1
  זאת משום שמצאת את הזווית החיצונית בין הווקטורים.. kiko1  08.07.11 00:11 2
  אני זוכר את השאלה הזאת ממבחן The Slayer  08.07.11 10:06 3

       
Yoni
חבר מתאריך 26.5.02
2305 הודעות
   22:47   29.06.11   
אל הפורום  
  1. לא צריך. רק בטנגנס לפעמים צריך.  
בתגובה להודעה מספר 0
 


                                                         (ניהול: מחק תגובה)
מכתב זה והנלווה אליו, על אחריות ועל דעת הכותב בלבד
kiko1 
חבר מתאריך 1.3.05
4521 הודעות
   00:11   08.07.11   
אל הפורום  
  2. זאת משום שמצאת את הזווית החיצונית בין הווקטורים..  
בתגובה להודעה מספר 0
 
  


הנדסת מערכות - טכניון 11'
https://ie.technion.ac.il/


                                                         (ניהול: מחק תגובה)
מכתב זה והנלווה אליו, על אחריות ועל דעת הכותב בלבד
The Slayer 
חבר מתאריך 29.4.03
7959 הודעות, 2 פידבק
   10:06   08.07.11   
אל הפורום  
  3. אני זוכר את השאלה הזאת ממבחן  
בתגובה להודעה מספר 0
 
   הם עשו ארקקוסינוס על 8/9 בלי המינוס


                                                         (ניהול: מחק תגובה)
מכתב זה והנלווה אליו, על אחריות ועל דעת הכותב בלבד

תגובה מהירה  למכתב מספר: 
 
___________________________________________________________________

___________________________________________________________________
למנהלים:  נעל | תייק בארכיון | מחק | העבר לפורום אחר | מחק תגובות | עגן אשכול
       



© כל הזכויות שמורות ל-רוטר.נט בע"מ rotter.net