ABA


"|עזרה| עם משוואה דיפרנציאלית מסדר ראשון"
גירסת הדפסה        
קבוצות דיון לימודים, מדע ותרבות נושא #11005 מנהל    סגן המנהל    מפקח   Winner    צל"ש   מומחה  
אשכול מספר 11005
eminem
חבר מתאריך 14.11.03
4348 הודעות, 1 פידבק
   17:37   06.07.11   
אל הפורום  
  |עזרה| עם משוואה דיפרנציאלית מסדר ראשון  
 
  
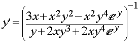
http://rotter.name/User_files/nor/4e14730d0a146bd8.gif

יש למישהו מושג איך לפתור את זה?
ניסיתי מדוייקת כי שום דרך אחרת לא נראת לי אבל זה לא הולך

כנראה יש פה איזה טריק


                                שתף        
מכתב זה והנלווה אליו, על אחריות ועל דעת הכותב בלבד

  האשכול     מחבר     תאריך כתיבה     מספר  
  זו משוואה מדוייקת BaBMeN 06.07.11 18:57 1
  ניראה כאילו נדרשת הזזה של הצירים.. Yariv-H 07.07.11 00:24 2

       
BaBMeN
חבר מתאריך 11.5.02
1286 הודעות
   18:57   06.07.11   
אל הפורום  
  1. זו משוואה מדוייקת  
בתגובה להודעה מספר 0
 
   n'y - m'x) / m)

מהמונה תוציא גורם משותך -4
ומהמכנה תוציא y
ואז מגיעים למינוס 4 חלקי y
גורם אינטגרציה y^-4
משם לא המשכתי...


                                                         (ניהול: מחק תגובה)
מכתב זה והנלווה אליו, על אחריות ועל דעת הכותב בלבד
Yariv-H לחץ כאן להצגת דירוג המשתמש
חבר מתאריך 24.3.02
5856 הודעות, 1 פידבק
   00:24   07.07.11   
אל הפורום  
  2. ניראה כאילו נדרשת הזזה של הצירים..  
בתגובה להודעה מספר 0
 
   אני לא כול כך זוכר את החומר , זה היה דיי מזמן..

אבל זה מה שקפץ לי.

לא סגור על זה..



                                                         (ניהול: מחק תגובה)
מכתב זה והנלווה אליו, על אחריות ועל דעת הכותב בלבד

תגובה מהירה  למכתב מספר: 
 
___________________________________________________________________

___________________________________________________________________
למנהלים:  נעל | תייק בארכיון | מחק | העבר לפורום אחר | מחק תגובות | עגן אשכול
       



© כל הזכויות שמורות ל-רוטר.נט בע"מ rotter.net