ABA


"איך אני פותר אחרי הצבה?"
גירסת הדפסה        
קבוצות דיון לימודים, מדע ותרבות נושא #11035 מנהל    סגן המנהל    מפקח   Winner    צל"ש   מומחה  
אשכול מספר 11035
_Poseidon_ 
חבר מתאריך 1.9.02
976 הודעות
   13:43   21.07.11   
אל הפורום  
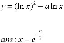
  איך אני פותר אחרי הצבה?  
 
http://rotter.name/User_files/nor/4e2802bc6efa54fb.jpg


                                שתף        
מכתב זה והנלווה אליו, על אחריות ועל דעת הכותב בלבד

  האשכול     מחבר     תאריך כתיבה     מספר  
  תציב את הביטוי במקום X ShocKi  21.07.11 14:18 1
     תודה _Poseidon_  21.07.11 14:34 2
  שאלה נוספת _Poseidon_  21.07.11 15:57 3
     הראשון כמכפלה השני גזירה רגילה של ln ShocKi  21.07.11 22:34 4
         למה מכפלה? פוקנציה מורכבת. Yoni 23.07.11 11:44 5
             הכוונה היא לנוסחא של u'v+v'u ShocKi  23.07.11 12:45 6
                 הבנתי. אבל אין באמת סיבה. ע''י גזירה מורכבת תגיע לאותה Yoni 23.07.11 13:05 7
                     במתמטיקה כמו במתמטיקה יש עשרות דרכים לפתור כל תרגיל ShocKi  23.07.11 14:29 8
                         אוקיי. Yoni 24.07.11 00:37 9

       
ShocKi  לחץ כאן להצגת דירוג המשתמש
חבר מתאריך 19.3.02
20171 הודעות, 10 פידבק
   14:18   21.07.11   
אל הפורום  
  1. תציב את הביטוי במקום X  
בתגובה להודעה מספר 0
 
   ב ln במכנה אתה מפעיל את חוקי הלוגים - העברת החזקה כמקדם של ה log.
lne זה 1 ולכן נשאר לך במכנה a-a-1... ואז פשוט נשאר לך מינוס הביטוי שבמונה


קאש-באק ישראלי: https://www.cashback.co.il/?uref=33330
קאשבק לAsos ואמזון דרך Ebates: https://goo.gl/MX87Y7 - מקבלים 10$ לאחר שימוש ראשון.


                                                         (ניהול: מחק תגובה)
מכתב זה והנלווה אליו, על אחריות ועל דעת הכותב בלבד
_Poseidon_ 
חבר מתאריך 1.9.02
976 הודעות
   14:34   21.07.11   
אל הפורום  
  2. תודה  
בתגובה להודעה מספר 1
 


                                                         (ניהול: מחק תגובה)
מכתב זה והנלווה אליו, על אחריות ועל דעת הכותב בלבד
_Poseidon_ 
חבר מתאריך 1.9.02
976 הודעות
   15:57   21.07.11   
אל הפורום  
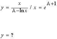
  3. שאלה נוספת  
בתגובה להודעה מספר 0
 
איך גוזרים את הפונקציה הבאה?
http://rotter.name/User_files/nor/4e28221d2bf2366b.jpg


                                                         (ניהול: מחק תגובה)
מכתב זה והנלווה אליו, על אחריות ועל דעת הכותב בלבד
ShocKi  לחץ כאן להצגת דירוג המשתמש
חבר מתאריך 19.3.02
20171 הודעות, 10 פידבק
   22:34   21.07.11   
אל הפורום  
  4. הראשון כמכפלה השני גזירה רגילה של ln  
בתגובה להודעה מספר 3
 
  


קאש-באק ישראלי: https://www.cashback.co.il/?uref=33330
קאשבק לAsos ואמזון דרך Ebates: https://goo.gl/MX87Y7 - מקבלים 10$ לאחר שימוש ראשון.


                                                         (ניהול: מחק תגובה)
מכתב זה והנלווה אליו, על אחריות ועל דעת הכותב בלבד
Yoni
חבר מתאריך 26.5.02
2305 הודעות
   11:44   23.07.11   
אל הפורום  
  5. למה מכפלה? פוקנציה מורכבת.  
בתגובה להודעה מספר 4
 


                                                         (ניהול: מחק תגובה)
מכתב זה והנלווה אליו, על אחריות ועל דעת הכותב בלבד
ShocKi  לחץ כאן להצגת דירוג המשתמש
חבר מתאריך 19.3.02
20171 הודעות, 10 פידבק
   12:45   23.07.11   
אל הפורום  
  6. הכוונה היא לנוסחא של u'v+v'u  
בתגובה להודעה מספר 5
 
   להתייחס לביטוי כ lnxlnx


קאש-באק ישראלי: https://www.cashback.co.il/?uref=33330
קאשבק לAsos ואמזון דרך Ebates: https://goo.gl/MX87Y7 - מקבלים 10$ לאחר שימוש ראשון.


                                                         (ניהול: מחק תגובה)
מכתב זה והנלווה אליו, על אחריות ועל דעת הכותב בלבד
Yoni
חבר מתאריך 26.5.02
2305 הודעות
   13:05   23.07.11   
אל הפורום  
  7. הבנתי. אבל אין באמת סיבה. ע''י גזירה מורכבת תגיע לאותה  
בתגובה להודעה מספר 6
 
תוצאה ממילא. פשוט זו צורת עבודה יותר נכונה.
מה אם זה היה בחזקת 10? גם אז היית מציג את זה כמכפלה? אז במקרה הזה ברור שהתשובה היא לא. אבל למשל חזקה שלישית עלולה לפתות אותך להציג את זה כמכפלה אם אתה רגיל להציג כך חזקה שניה, וזה מיותר לחלוטין.
בהצלחה!


                                                         (ניהול: מחק תגובה)
מכתב זה והנלווה אליו, על אחריות ועל דעת הכותב בלבד
ShocKi  לחץ כאן להצגת דירוג המשתמש
חבר מתאריך 19.3.02
20171 הודעות, 10 פידבק
   14:29   23.07.11   
אל הפורום  
  8. במתמטיקה כמו במתמטיקה יש עשרות דרכים לפתור כל תרגיל  
בתגובה להודעה מספר 7
 
   ערכתי לאחרונה בתאריך 23.07.11 בשעה 14:32 בברכה, ShocKi
 
אתה יכול גם לקחת את עוד צעד אחד קדימה ולומר מה אם x בעצמו היה מגדיר פונקציה סתומה...

אין סוף לדברים האלה. אני הצעתי דרך פתרון אפשרית אחת לתרגיל (ולאו דווקא הטובה ביותר למקרים אחרים..)

כל שיטה נכונה מקובלת


קאש-באק ישראלי: https://www.cashback.co.il/?uref=33330
קאשבק לAsos ואמזון דרך Ebates: https://goo.gl/MX87Y7 - מקבלים 10$ לאחר שימוש ראשון.


                                                         (ניהול: מחק תגובה)
מכתב זה והנלווה אליו, על אחריות ועל דעת הכותב בלבד
Yoni
חבר מתאריך 26.5.02
2305 הודעות
   00:37   24.07.11   
אל הפורום  
  9. אוקיי.  
בתגובה להודעה מספר 8
 
בהצלחה!


                                                         (ניהול: מחק תגובה)
מכתב זה והנלווה אליו, על אחריות ועל דעת הכותב בלבד

תגובה מהירה  למכתב מספר: 
 
___________________________________________________________________

___________________________________________________________________
למנהלים:  נעל | תייק בארכיון | מחק | העבר לפורום אחר | מחק תגובות | עגן אשכול
       



© כל הזכויות שמורות ל-רוטר.נט בע"מ rotter.net