ABA


"איך אני גוזר את המשוואה?"
גירסת הדפסה        
קבוצות דיון לימודים, מדע ותרבות נושא #11044 מנהל    סגן המנהל    מפקח   Winner    צל"ש   מומחה  
אשכול מספר 11044
_Poseidon_ 
חבר מתאריך 1.9.02
976 הודעות, דרג אמינות חבר זה
   23:58   26.07.11   
אל הפורום  
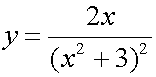
  איך אני גוזר את המשוואה?  
 
צריך למצוא נק' קיצון

http://rotter.name/User_files/nor/4e2f2a711e3f98f6.jpg


                                שתף        
מכתב זה והנלווה אליו, על אחריות ועל דעת הכותב בלבד

  האשכול     מחבר     תאריך כתיבה     מספר  
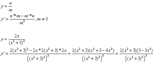
  הסבר Eylon 27.07.11 00:52 1
     הרשה לי לתקן. זה לא הסבר. זה פתרון :D דני15  27.07.11 08:09 2
         בטח שאפשר לצמצם .. mickool  27.07.11 13:45 3
  בכל מה שנוגע לגזירה אתה צריך לעשות את לאט... וגם eminem 27.07.11 14:39 4

       
Eylon
חבר מתאריך 18.3.02
18128 הודעות, דרג אמינות חבר זה
   00:52   27.07.11   
אל הפורום  
  1. הסבר  
בתגובה להודעה מספר 0
 
   http://rotter.name/User_files/nor/4e2f3707350c972e.gif


                                                         (ניהול: מחק תגובה)
מכתב זה והנלווה אליו, על אחריות ועל דעת הכותב בלבד
דני15 
חבר מתאריך 3.8.02
47437 הודעות, 8 פידבק, -3 נקודות
   08:09   27.07.11   
אל הפורום  
  2. הרשה לי לתקן. זה לא הסבר. זה פתרון :D  
בתגובה להודעה מספר 1
 
   אגב בסוף אפשר לצמצם x^2+3 אחד... או שזה מחסל פתרון ?
במחשבה שניה, בהשוואה לאפס זה לא ייתן כלום גם ככה.


                                                         (ניהול: מחק תגובה)
מכתב זה והנלווה אליו, על אחריות ועל דעת הכותב בלבד
mickool 
חבר מתאריך 25.4.02
4734 הודעות, 1 פידבק, -1 נקודות
   13:45   27.07.11   
אל הפורום  
  3. בטח שאפשר לצמצם ..  
בתגובה להודעה מספר 2
 
  


                                                         (ניהול: מחק תגובה)
מכתב זה והנלווה אליו, על אחריות ועל דעת הכותב בלבד
eminem
חבר מתאריך 14.11.03
4348 הודעות, 1 פידבק, -2 נקודות
   14:39   27.07.11   
אל הפורום  
  4. בכל מה שנוגע לגזירה אתה צריך לעשות את לאט... וגם  
בתגובה להודעה מספר 0
 
   לדעת איך להתייחס לזה מבחוץ לבפנים

בוא נתחיל מה"קליפה" החיצונית

יש לך פונקציית מנה

איך גוזרים פונקציית מנה? קרוב לוודאי שאתה יודע

נגזרת של מונה כפול מכנה מינוס נגזרת של מכנה כפול מונה חלקי מכנה בריבוע

לגזור את המונה לא בעיה

במכנה יש לך פונקציה מורכבת כלומר איזה גוזרים את המכנה?

נגזרת של כל הביטוי הזה כפול הנגזרת של הביטוי בתוך הסוגרים כלומר
2 כפול הביטוי בסוגרים כפול הנגזרת שבתוך הסוגרים שזה שתים איקס


                                                         (ניהול: מחק תגובה)
מכתב זה והנלווה אליו, על אחריות ועל דעת הכותב בלבד

תגובה מהירה  למכתב מספר: 
 
___________________________________________________________________

___________________________________________________________________
למנהלים:  נעל | תייק בארכיון | מחק | העבר לפורום אחר | מחק תגובות | עגן אשכול
       



© כל הזכויות שמורות ל-רוטר.נט בע"מ rotter.net