ABA


"שתי שאלות בפיזיקה 1"
גירסת הדפסה        
קבוצות דיון לימודים, מדע ותרבות נושא #11081 מנהל    סגן המנהל    מפקח   Winner    צל"ש   מומחה  
אשכול מספר 11081
-KG- 
חבר מתאריך 2.8.02
14263 הודעות
   11:43   19.08.11   
אל הפורום  
  שתי שאלות בפיזיקה 1  
 
   אשמח להסברים איך לפתור את השאלות האלה
תודה מראש
http://rotter.name/User_files/nor/4e4e222626f2e3c6.png


                                שתף        
מכתב זה והנלווה אליו, על אחריות ועל דעת הכותב בלבד

  האשכול     מחבר     תאריך כתיבה     מספר  
  מכתב The Slayer  19.08.11 12:26 1
     תודה על התשובה אבל לא ממש הבנתי -KG-  19.08.11 15:53 2
         מקווה שמספיק ברור The Slayer  19.08.11 17:11 3
             את השאלה השניה הבנתי -KG-  21.08.11 02:17 4
                 סכום הכוחות בראש המעגל The Slayer  21.08.11 09:59 5

       
The Slayer 
חבר מתאריך 29.4.03
8356 הודעות, 2 פידבק
   12:26   19.08.11   
אל הפורום  
  1. מכתב  
בתגובה להודעה מספר 0
 
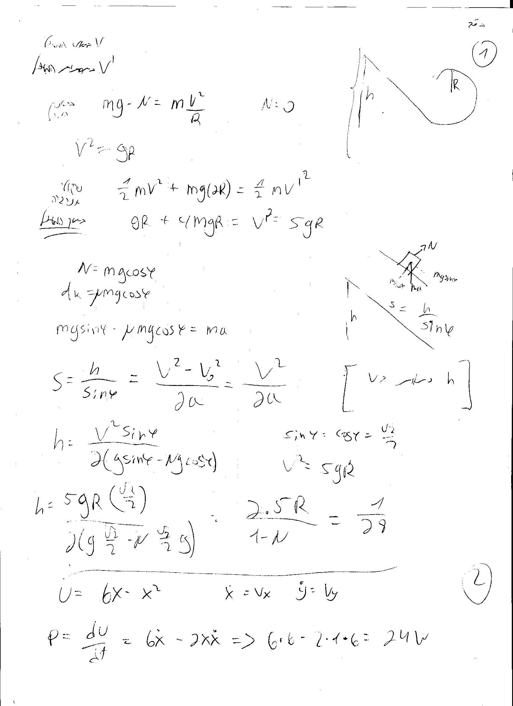
   תרגיל ראשון מוצאים את המהירות למעלה לפי תנועה מעגלית כאשר הנורמל 0
משווים לפי אנגריות ומוצאים את המהירות הדרושה בתחתית המעגל
יוצא שורש 5 גי אר
את זה משווים למהירות שנוצרת מהירידה כתלות בH ומוצאים קשר בין H לV
ומציבים את V שקיבלנו לעיל

תרגיל שני פשוט גוזרים לפי הזמן ומקבלים הספק
6 איקס דוט מינוס 2 איקס איקס דוט
כל המשתנים פה נתונים
הקטע הוא שיכול להיות שהם התכוונות לתשובה פה שהיא שלילית


                                                         (ניהול: מחק תגובה)
מכתב זה והנלווה אליו, על אחריות ועל דעת הכותב בלבד
-KG- 
חבר מתאריך 2.8.02
14263 הודעות
   15:53   19.08.11   
אל הפורום  
  2. תודה על התשובה אבל לא ממש הבנתי  
בתגובה להודעה מספר 1
 
   בשאלה 1
אני השוותי את האנרגית גובה בשיא המעגל לאנרגיה הקינטית בתחילת המעגל ויוצא לי שורש 4gr שווה לv
עכשיו לא הבנתי איך אני מגיע למהירות כתלות בH?
בשאלה 2 לא הבנתי בכלל
אם תוכל להסביר לי טיפה יותר בפירוט אודה לך


                                                         (ניהול: מחק תגובה)
מכתב זה והנלווה אליו, על אחריות ועל דעת הכותב בלבד
The Slayer 
חבר מתאריך 29.4.03
8356 הודעות, 2 פידבק
   17:11   19.08.11   
אל הפורום  
  3. מקווה שמספיק ברור  
בתגובה להודעה מספר 2
 
   מקסימום תגיד לי מה לא הבנת
http://rotter.name/User_files/nor/4e4e6eb751452f73.jpg


                                                         (ניהול: מחק תגובה)
מכתב זה והנלווה אליו, על אחריות ועל דעת הכותב בלבד
-KG- 
חבר מתאריך 2.8.02
14263 הודעות
   02:17   21.08.11   
אל הפורום  
  4. את השאלה השניה הבנתי  
בתגובה להודעה מספר 3
 
   את השאלה הראשונה אני עדיין לא מבין
את המשוואה הראשונה עם הנורמל אני לא מבין
אם תוכל להסביר לי שוב אודה לך


                                                         (ניהול: מחק תגובה)
מכתב זה והנלווה אליו, על אחריות ועל דעת הכותב בלבד
The Slayer 
חבר מתאריך 29.4.03
8356 הודעות, 2 פידבק
   09:59   21.08.11   
אל הפורום  
  5. סכום הכוחות בראש המעגל  
בתגובה להודעה מספר 4
 
   שמתי לב עכשיו שיש בזה טעות קטנה
mg+N=mv^2/r
יש שני כוחות נורמל וגרביטציה סכום הכוחות שווה למסה כפול תאוצה
הצאוצה היא רדיאלית לכיוון מרכז המעגל
במהירויות גבוהות הגף בטוח ישלים סיבוב אך יפעיל כח יותר חזק על המעגל
משווים את הכח הזה לאפס כדי שישלים סיבוב במהירות הכי מינימלית

ולגבי השאלה השנייה אם יש לך תשובות אולי תבדוק שם אם התשובה היא במינוס
מפני שהאנגיה שנתנו היא פוטנציאלית והכח שנוצר ממנה צריך להיות בכיוון ירידת הפוטנציאל


                                                         (ניהול: מחק תגובה)
מכתב זה והנלווה אליו, על אחריות ועל דעת הכותב בלבד

תגובה מהירה  למכתב מספר: 
 
___________________________________________________________________

___________________________________________________________________
למנהלים:  נעל | תייק בארכיון | מחק | העבר לפורום אחר | מחק תגובות | עגן אשכול
       
דרג לפי חשיבות הנושא  דרג לפי חשיבות הנושא   



© כל הזכויות שמורות ל-רוטר.נט בע"מ rotter.net