ABA


"צריך עזרה בגבולות"
גירסת הדפסה        
קבוצות דיון לימודים, מדע ותרבות נושא #11102 מנהל    סגן המנהל    מפקח   Winner    צל"ש   מומחה  
אשכול מספר 11102
-KINGMAN-  לחץ כאן להצגת דירוג המשתמש
חבר מתאריך 13.4.03
7284 הודעות, 2 פידבק, 4 נקודות
   00:33   06.09.11   
אל הפורום  
  צריך עזרה בגבולות  
 
   אז ככה קיבלתי תרגיל כזה בגבולות ואין לי מושג איך אני פותר אותו אשמח לעזרה

http://rotter.name/User_files/nor/4e6540125734c130.jpg


                                שתף        
מכתב זה והנלווה אליו, על אחריות ועל דעת הכותב בלבד

  האשכול     מחבר     תאריך כתיבה     מספר  
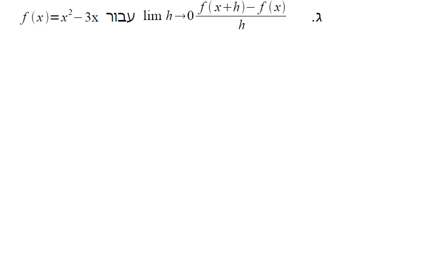
  תרגיל נוסף שאשמח לעזרה תודה :) -KINGMAN-  06.09.11 00:44 1
  תעשה לופיטל mickool  06.09.11 01:30 2
  בבקשה eminem 06.09.11 02:24 3
  שפיץ על ! תודה רבה רבה :‏)‏ -KINGMAN-  06.09.11 14:35 4

       
-KINGMAN-  לחץ כאן להצגת דירוג המשתמש
חבר מתאריך 13.4.03
7284 הודעות, 2 פידבק, 4 נקודות
   00:44   06.09.11   
אל הפורום  
  1. תרגיל נוסף שאשמח לעזרה תודה :)  
בתגובה להודעה מספר 0
 
   http://rotter.name/User_files/nor/4e6542c65c82a37c.jpg


                                                         (ניהול: מחק תגובה)
מכתב זה והנלווה אליו, על אחריות ועל דעת הכותב בלבד
mickool 
חבר מתאריך 25.4.02
4734 הודעות, 1 פידבק, -1 נקודות
   01:30   06.09.11   
אל הפורום  
  2. תעשה לופיטל  
בתגובה להודעה מספר 0
 
  


                                                         (ניהול: מחק תגובה)
מכתב זה והנלווה אליו, על אחריות ועל דעת הכותב בלבד
eminem
חבר מתאריך 14.11.03
4348 הודעות, 1 פידבק, -2 נקודות
   02:24   06.09.11   
אל הפורום  
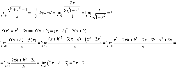
  3. בבקשה  
בתגובה להודעה מספר 0
 
   http://rotter.name/User_files/nor/4e655a197df41e5e.gif


                                                         (ניהול: מחק תגובה)
מכתב זה והנלווה אליו, על אחריות ועל דעת הכותב בלבד
-KINGMAN-  לחץ כאן להצגת דירוג המשתמש
חבר מתאריך 13.4.03
7284 הודעות, 2 פידבק, 4 נקודות
   14:35   06.09.11   
אל הפורום  
  4. שפיץ על ! תודה רבה רבה :‏)‏  
בתגובה להודעה מספר 0
 
  


                                                         (ניהול: מחק תגובה)
מכתב זה והנלווה אליו, על אחריות ועל דעת הכותב בלבד

תגובה מהירה  למכתב מספר: 
 
___________________________________________________________________

___________________________________________________________________
למנהלים:  נעל | תייק בארכיון | מחק | העבר לפורום אחר | מחק תגובות | עגן אשכול
       



© כל הזכויות שמורות ל-רוטר.נט בע"מ rotter.net