ABA


"שאלה על גבול שהיה לי היום במבחן (חדוא 1)"
גירסת הדפסה        
קבוצות דיון לימודים, מדע ותרבות נושא #11120 מנהל    סגן המנהל    מפקח   Winner    צל"ש   מומחה  
אשכול מספר 11120
A---B
חבר מתאריך 22.9.09
562 הודעות
   20:49   20.09.11   
אל הפורום  
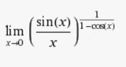
  שאלה על גבול שהיה לי היום במבחן (חדוא 1)  
 
   אם מישהו יכול לנסות לפתור לבד...
פתרנו כמה חבר'ה באותה צורה, אבל הוולפראם זורק תשובה הזויה (ודרך הזויה עוד יותר)

תודה מראש.
http://rotter.name/User_files/nor/4e78d2222a79c749.jpg


                                שתף        
מכתב זה והנלווה אליו, על אחריות ועל דעת הכותב בלבד

  האשכול     מחבר     תאריך כתיבה     מספר  
  אי בחזקת מינוס שליש The Slayer  20.09.11 21:13 1
  בבקשה eminem 20.09.11 21:17 2
     מכתב The Slayer  20.09.11 23:57 4
         מה שמצחיק eminem 21.09.11 00:13 6
             כל כך שנאתי את הבחינה הזאת The Slayer  21.09.11 01:01 7
                 עזוב אותך שטויות מקסימום תחזור על קורסים בשנה ד' eminem 21.09.11 09:31 8
                     כן, זה מה שאני חושב לעשות. The Slayer  21.09.11 14:11 9
  פיתוח טיילור זה מעניין. Deuce  20.09.11 21:41 3
     ללא ספק שדרך טיילור זה יותר אלגנטי eminem 21.09.11 00:11 5

       
The Slayer 
חבר מתאריך 29.4.03
7959 הודעות, 2 פידבק
   21:13   20.09.11   
אל הפורום  
  1. אי בחזקת מינוס שליש  
בתגובה להודעה מספר 0
 
   אפשר עם לופיטל ועם פיתוחי טיילור


                                                         (ניהול: מחק תגובה)
מכתב זה והנלווה אליו, על אחריות ועל דעת הכותב בלבד
eminem
חבר מתאריך 14.11.03
4348 הודעות, 1 פידבק
   21:17   20.09.11   
אל הפורום  
  2. בבקשה  
בתגובה להודעה מספר 0
 
   http://rotter.name/User_files/nor/4e78d8a13cc872af.jpg

בואנה slayer אני לא זכרתי כלום מחדו"א 1 לקח לי זמן לפתור את זה...
עכשיו הזכרת לי גם שיש אופציה של פיתוח טיילור


                                                         (ניהול: מחק תגובה)
מכתב זה והנלווה אליו, על אחריות ועל דעת הכותב בלבד
The Slayer 
חבר מתאריך 29.4.03
7959 הודעות, 2 פידבק
   23:57   20.09.11   
אל הפורום  
  4. מכתב  
בתגובה להודעה מספר 2
 
   אחרי שני קורסים בפיסיקה + קורס בחשמל קשה לשכוח...

ואת הגבול הזה אני חושב שעדיף לפתור בצורה של אי בחזקת לאן

העליתי פה 2 דרכים שיכולים לעזור
הדרך למטה זה פיתוח טיילור בלבד
צריך להשתמש בטור של הסינוס קוסינוס והלאן ומפה זה פשוט
http://rotter.name/User_files/nor/4e78fd8f1c6d95e3.jpg


                                                         (ניהול: מחק תגובה)
מכתב זה והנלווה אליו, על אחריות ועל דעת הכותב בלבד
eminem
חבר מתאריך 14.11.03
4348 הודעות, 1 פידבק
   00:13   21.09.11   
אל הפורום  
  6. מה שמצחיק  
בתגובה להודעה מספר 4
 
   שהבחינה של חדו"א 1 לחשמל שהייתה לנו שנמצאת במאגר בחינות של האגודה היא שלי
וזכרתי שהיה תרגיל דומה אשכרה הסתכלתי עליו
אני כל כך שכחתי דברים שאם הייתי ניגש לבחינה הייתי אולי מגרד עובר


                                                         (ניהול: מחק תגובה)
מכתב זה והנלווה אליו, על אחריות ועל דעת הכותב בלבד
The Slayer 
חבר מתאריך 29.4.03
7959 הודעות, 2 פידבק
   01:01   21.09.11   
אל הפורום  
  7. כל כך שנאתי את הבחינה הזאת  
בתגובה להודעה מספר 6
 
   מועד א' ומועד ב' היו בחינות די קלות ונפלתי על השאלות הוכחה
ישר מינוס 25 אולי נתנו לי איזה 2-3 נקודות על הניסיון חח
הייתי ממש רוצה לעשות את הבחינה הזאת שוב
אבל ממש לא לשלם לאוניברסיטה הזאת 2000 ש"ח


                                                         (ניהול: מחק תגובה)
מכתב זה והנלווה אליו, על אחריות ועל דעת הכותב בלבד
eminem
חבר מתאריך 14.11.03
4348 הודעות, 1 פידבק
   09:31   21.09.11   
אל הפורום  
  8. עזוב אותך שטויות מקסימום תחזור על קורסים בשנה ד'  
בתגובה להודעה מספר 7
 
   אם תצטרך ממוצע
חדו"א 1 זה קורס שבאסה לחזור עליו

מילא חדו"א 2 ששם הדברים הם טכניים


                                                         (ניהול: מחק תגובה)
מכתב זה והנלווה אליו, על אחריות ועל דעת הכותב בלבד
The Slayer 
חבר מתאריך 29.4.03
7959 הודעות, 2 פידבק
   14:11   21.09.11   
אל הפורום  
  9. כן, זה מה שאני חושב לעשות.  
בתגובה להודעה מספר 8
 
   בנתיים הממוצע שלי די טוב
אבל עוד כמה נקודות היו מקפיצות לי אותו למה שבאמת רציתי
אז חשבתי לעשות בקיץ את הקורס פיסיקה שהוא יותר קל ממה שעשיתי בסמסטר
אבל גם נזכרתי מאוחר מדי והייתי צריך לריב עם המזכירה בלי סוף
כל פעם אומרים לי שאני צריך אישור מיוחד מועד הוראה, דיקן, אישור ממרצה הקורס,המזכירה בחופשה האוניברסיטה בחופשה עד שכבר נמאס לי ואמרתי שאני פשוט לא אשלם למקום הזה 2000 ש"ח שבוע לפני המבחן רק בשביל שיבדקו לי טופס.
פיסיקה 1 וחדווא 1 הם הקורסים שמורידים לי את הממוצע
אני מניח שאם הציונים הבאים יהיו טובים אני לא אשפר את הקורסים האלה.


                                                         (ניהול: מחק תגובה)
מכתב זה והנלווה אליו, על אחריות ועל דעת הכותב בלבד
Deuce 
חבר מתאריך 1.9.08
6225 הודעות
   21:41   20.09.11   
אל הפורום  
  3. פיתוח טיילור זה מעניין.  
בתגובה להודעה מספר 0
 

sin x = x - x^3/6 + O(x^5)
cos x = 1 - x^2/2 + O(x^4)

-->
sin x/x ^ 1/(1-cos x) = (1 - x^2/6)^(2/x^2)


מפה קל לראות את הגבול.
זה לא הכי פורמלי בבחינה (אם כי אפשר לפרמל), זה נותן אינטואיציה.






                                                         (ניהול: מחק תגובה)
מכתב זה והנלווה אליו, על אחריות ועל דעת הכותב בלבד
eminem
חבר מתאריך 14.11.03
4348 הודעות, 1 פידבק
   00:11   21.09.11   
אל הפורום  
  5. ללא ספק שדרך טיילור זה יותר אלגנטי  
בתגובה להודעה מספר 3
 
   גם המרתוניסט שלנו לקורס ישר אמר לנו שאם x שואף לאפס להסתכל על טיילור
יש תרגילים שלופיטל במיוחד עם ln ושורשים יכול להיות שואה


                                                         (ניהול: מחק תגובה)
מכתב זה והנלווה אליו, על אחריות ועל דעת הכותב בלבד

תגובה מהירה  למכתב מספר: 
 
___________________________________________________________________

___________________________________________________________________
למנהלים:  נעל | תייק בארכיון | מחק | העבר לפורום אחר | מחק תגובות | עגן אשכול
       



© כל הזכויות שמורות ל-רוטר.נט בע"מ rotter.net