יומן פעילות
לוח שנה
מבזקי חדשות
תקנון
RSS
כותרות
כותרות לפי תגובה
ניקוי קוקיז
IP
להורדת אפליקציה
בחר פורום
שיחות
ביטקוין ומטבעות קריפטו
כושר ופיתוח גוף
לימודים
צרכנות
הרגע קניתי
שיווק שותפים
כלכלה
בני ה-20
מודיעין
משחקים
תוכנה
חומרה
תיכנות
סמארטפונים
Downloads
שיתוף
מוזיקה
סרטים
צילום
מוטוריקה
לובי
eBay
AliExpress
GearBest
Amazon
Booking
Kiwi
SkyScanner
Trip Advisor
"שאלה בסיסית באלגברה"
גירסת הדפסה
קבוצות דיון
לימודים, מדע ותרבות
נושא #11133
מנהל
סגן המנהל
מפקח
Winner
צל"ש
מומחה
אשכול מספר 11133
The Boss
חבר מתאריך 14.9.08
6889 הודעות
,
2 פידבק
12:27
03.10.11
שאלה בסיסית באלגברה
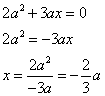
איך לבודד את X בביטוי הבא?
2a^2+3ax=0
תודה רבה
קופון הנחה של 5% ל iHerb
https://goo.gl/Q6Tr1S
הרבה יותר טוב מ Vitacost
שתף
ציוץ
מכתב זה והנלווה אליו, על אחריות ועל דעת הכותב בלבד
האשכול
מחבר
תאריך כתיבה
מספר
בבקשה
eminem
03.10.11
12:30
1
כמה שזה פשוט, תודה (:
The Boss
03.10.11
12:32
2
לא מדוייק
Yoni
03.10.11
23:02
3
eminem
חבר מתאריך 14.11.03
4348 הודעות
,
1 פידבק
12:30
03.10.11
1. בבקשה
בתגובה להודעה מספר 0
http://rotter.name/User_files/nor/4e898eb064a4a016.gif
(ניהול: מחק תגובה)
מכתב זה והנלווה אליו, על אחריות ועל דעת הכותב בלבד
The Boss
חבר מתאריך 14.9.08
6889 הודעות
,
2 פידבק
12:32
03.10.11
2. כמה שזה פשוט, תודה (:
בתגובה להודעה מספר 1
קופון הנחה של 5% ל iHerb
https://goo.gl/Q6Tr1S
הרבה יותר טוב מ Vitacost
(ניהול: מחק תגובה)
מכתב זה והנלווה אליו, על אחריות ועל דעת הכותב בלבד
Yoni
חבר מתאריך 26.5.02
2305 הודעות
23:02
03.10.11
3. לא מדוייק
בתגובה להודעה מספר 1
צריך לציין שזה תלוי בפרמטר A. אם הוא 0, X יכול להיות כל מספר.
(ניהול: מחק תגובה)
מכתב זה והנלווה אליו, על אחריות ועל דעת הכותב בלבד
תגובה מהירה
למכתב מספר:
0 - הכותרת
1
2
3
___________________________________________________________________
___________________________________________________________________
למנהלים:
נעל
|
תייק בארכיון
|
מחק
|
העבר לפורום אחר
|
מחק תגובות
|
עגן אשכול
בחר פורום
שיחות
ביטקוין ומטבעות קריפטו
כושר ופיתוח גוף
לימודים
צרכנות
הרגע קניתי
כלכלה
בני ה-20
מודיעין
משחקים
תוכנה
חומרה
תיכנות
סמארטפונים
Downloads
שיתוף
מוזיקה
סרטים
צילום
מוטוריקה
לובי
© כל הזכויות שמורות ל-רוטר.נט בע"מ
rotter.net