ABA


"מישהו זוכר איך פותרים משוואה כזו ?"
גירסת הדפסה        
קבוצות דיון לימודים, מדע ותרבות נושא #11134 מנהל    סגן המנהל    מפקח   Winner    צל"ש   מומחה  
אשכול מספר 11134
Finlandia לחץ כאן להצגת דירוג המשתמש
חבר מתאריך 7.10.08
4760 הודעות, 1 פידבק
   17:16   03.10.11   
אל הפורום  
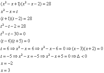
  מישהו זוכר איך פותרים משוואה כזו ?  
 
   http://rotter.name/User_files/nor/4e89d1c973d17c24.png


                                שתף        
מכתב זה והנלווה אליו, על אחריות ועל דעת הכותב בלבד

  האשכול     מחבר     תאריך כתיבה     מספר  
  בבקשה eminem 03.10.11 17:22 1
     יא תותח!!! חח יש לי עוד אחד אם יש לך כוח Finlandia 03.10.11 17:52 2
         בבקשה eminem 03.10.11 17:58 3
             תודה רבה אחי! Finlandia 03.10.11 19:42 4
     מכתב mickool  04.10.11 22:39 5

       
eminem
חבר מתאריך 14.11.03
4348 הודעות, 1 פידבק
   17:22   03.10.11   
אל הפורום  
  1. בבקשה  
בתגובה להודעה מספר 0
 
   ערכתי לאחרונה בתאריך 03.10.11 בשעה 17:36 בברכה, eminem
 
http://rotter.name/User_files/nor/4e89d6857ffba9e3.gif


                                                         (ניהול: מחק תגובה)
מכתב זה והנלווה אליו, על אחריות ועל דעת הכותב בלבד
Finlandia לחץ כאן להצגת דירוג המשתמש
חבר מתאריך 7.10.08
4760 הודעות, 1 פידבק
   17:52   03.10.11   
אל הפורום  
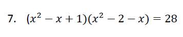
  2. יא תותח!!! חח יש לי עוד אחד אם יש לך כוח  
בתגובה להודעה מספר 1
 
   http://rotter.name/User_files/nor/4e89da020a1489eb.png

הגיוני תרגילים כאלה לכיתה י' ?
אני מנסה לעזור לאחותי פה....


                                                         (ניהול: מחק תגובה)
מכתב זה והנלווה אליו, על אחריות ועל דעת הכותב בלבד
eminem
חבר מתאריך 14.11.03
4348 הודעות, 1 פידבק
   17:58   03.10.11   
אל הפורום  
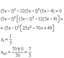
  3. בבקשה  
בתגובה להודעה מספר 2
 
   ערכתי לאחרונה בתאריך 03.10.11 בשעה 18:09 בברכה, eminem
 
http://rotter.name/User_files/nor/4e89de181420d24d.gif


                                                         (ניהול: מחק תגובה)
מכתב זה והנלווה אליו, על אחריות ועל דעת הכותב בלבד
Finlandia לחץ כאן להצגת דירוג המשתמש
חבר מתאריך 7.10.08
4760 הודעות, 1 פידבק
   19:42   03.10.11   
אל הפורום  
  4. תודה רבה אחי!  
בתגובה להודעה מספר 3
 
  


                                                         (ניהול: מחק תגובה)
מכתב זה והנלווה אליו, על אחריות ועל דעת הכותב בלבד
mickool 
חבר מתאריך 25.4.02
4734 הודעות, 1 פידבק
   22:39   04.10.11   
אל הפורום  
  5. מכתב  
בתגובה להודעה מספר 1
 
  


                                                         (ניהול: מחק תגובה)
מכתב זה והנלווה אליו, על אחריות ועל דעת הכותב בלבד

תגובה מהירה  למכתב מספר: 
 
___________________________________________________________________

___________________________________________________________________
למנהלים:  נעל | תייק בארכיון | מחק | העבר לפורום אחר | מחק תגובות | עגן אשכול
       



© כל הזכויות שמורות ל-רוטר.נט בע"מ rotter.net