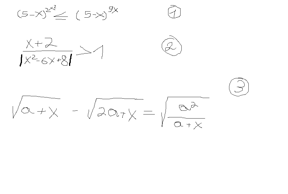
1.תחום הגדרה איקס קטן מ5
עכשיו שני מקרים
עבור איקס קטן מ4 החזקה מצד ימין גדולה מהחזקה בצד שמאל
עבור איקס גדול מ4 ההפך
ואיקס שווה 5 גם פותר את המשוואה2.תכפיל במכנה ותפתח לפי שני מקרים
עבור איקס בין 2 ל4 וההיפך
בתחון שבין 2 ל4 צריך לשים מינוס על מה שבערך המוחלט
פותרים משוואה ריבועית עם אי שיויון
ועושים איחוד בין שני המקרים
3.אם היה פה אי שיויון היית צריך להזיז שורש אחד ימינה
כדי ששני הצדדים יהיו חיובים ואז תוכל לעלות בריבוע
אבל בגלל שיש פה שיויון אז זה לא משנה
פשוט להעלות פעמיים בריבוע (עם הוזזת צד אחרי הפעם הראשונה)
או להכפיל בשורש איי פלוס איקס
או בשורש איי פלוס איקס + שורש שניי איי פלוס איקס
רק לשים לב לא שאם מוציאים שורש על איי בריבוע זה איי בערל מוחלט
