ABA


"שאלה על הוכחה באלגברה"
גירסת הדפסה        
קבוצות דיון לימודים, מדע ותרבות נושא #11195 מנהל    סגן המנהל    מפקח   Winner    צל"ש   מומחה  
אשכול מספר 11195
alex1122 
חבר מתאריך 30.8.07
1159 הודעות, דרג אמינות חבר זה
   19:34   08.11.11   
אל הפורום  
  שאלה על הוכחה באלגברה  
 
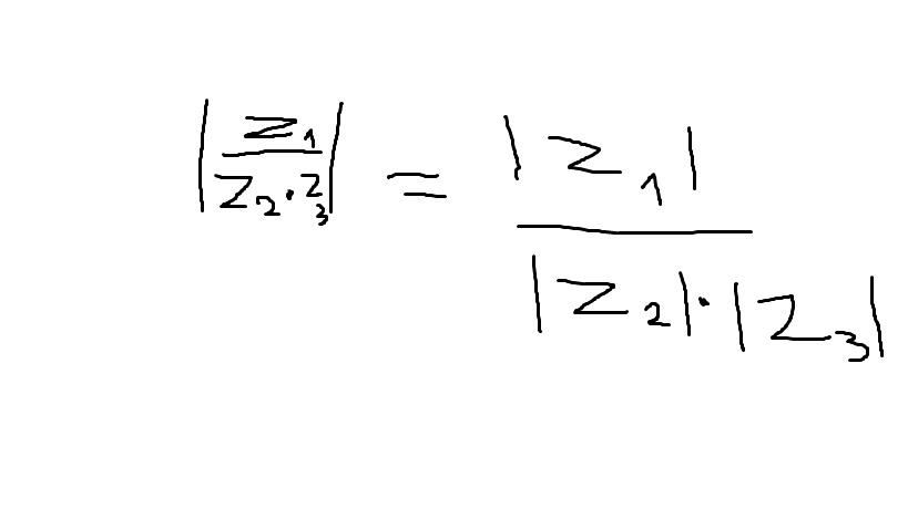
   מספיק להוכיח ש /z1*z2/=/z1/*/z2/
http://rotter.name/User_files/nor/4eb9681c2b74d22b.jpg


                                שתף        
מכתב זה והנלווה אליו, על אחריות ועל דעת הכותב בלבד

  האשכול     מחבר     תאריך כתיבה     מספר  
  מספיק להוכיח?? ohadeytan 08.11.11 21:10 1
  מה השאלה? Deuce  08.11.11 21:31 2
  להוכיח את מה שבתמונה alex1122  08.11.11 22:44 3
  חסרה לך זהות אחת לדעתי asco88  11.11.11 00:48 4
  אל תקצר במילים, תהיה קורקטי. Deuce  11.11.11 13:00 5

       
ohadeytan לחץ כאן להצגת דירוג המשתמש
חבר מתאריך 7.8.06
617 הודעות, 3 פידבק, 5 נקודות
   21:10   08.11.11   
אל הפורום  
  1. מספיק להוכיח??  
בתגובה להודעה מספר 0
 
  


                                                         (ניהול: מחק תגובה)
מכתב זה והנלווה אליו, על אחריות ועל דעת הכותב בלבד
Deuce 
חבר מתאריך 1.9.08
6225 הודעות, דרג אמינות חבר זה
   21:31   08.11.11   
אל הפורום  
  2. מה השאלה?  
בתגובה להודעה מספר 0
 






                                                         (ניהול: מחק תגובה)
מכתב זה והנלווה אליו, על אחריות ועל דעת הכותב בלבד
alex1122 
חבר מתאריך 30.8.07
1159 הודעות, דרג אמינות חבר זה
   22:44   08.11.11   
אל הפורום  
  3. להוכיח את מה שבתמונה  
בתגובה להודעה מספר 0
 
  


                                                         (ניהול: מחק תגובה)
מכתב זה והנלווה אליו, על אחריות ועל דעת הכותב בלבד
asco88 
חבר מתאריך 17.6.04
26757 הודעות, דרג אמינות חבר זה
   00:48   11.11.11   
אל הפורום  
  4. חסרה לך זהות אחת לדעתי  
בתגובה להודעה מספר 0
 
לפני שאתה מחלק את המשתנים לשני ערכים מוחלטים, קודם כל המכנה בפני עצמו גם הוא צריך להיות בערך מחלט, ורק אז |Z*Z| = |Z| * |Z|, אם אני לא טועה כמובן.


                                                         (ניהול: מחק תגובה)
מכתב זה והנלווה אליו, על אחריות ועל דעת הכותב בלבד
Deuce 
חבר מתאריך 1.9.08
6225 הודעות, דרג אמינות חבר זה
   13:00   11.11.11   
אל הפורום  
  5. אל תקצר במילים, תהיה קורקטי.  
בתגובה להודעה מספר 0
 
אם לא היית חוסך במילים, כבר היה לך פתרון ביד.
אתה מעלה תמונה ומוסיף בשורה הראשונה "מספיק להוכיח ש", באמת לא ברור.

כדי להוכיח מספיק שתוכיח ש-:


a. |zw| = |z||w|
b. |z/w| = |z|/|w|

הזהות הראשונה קלה יותר ומתבססת על הגדרות בלבד, אני אוכיח לך את b:

נסמן את הצמוד של w ב-w'
|z/w| = |z * 1/w| = לפי a = |z| * |1/w|.

מספיק להראות ש-:

|1/w| = 1/|w|
<-->
|w| * |1/w| = 1
<-->
|w/w| = 1
1 = 1

כנדרש.






                                                         (ניהול: מחק תגובה)
מכתב זה והנלווה אליו, על אחריות ועל דעת הכותב בלבד

תגובה מהירה  למכתב מספר: 
 
___________________________________________________________________

___________________________________________________________________
למנהלים:  נעל | תייק בארכיון | מחק | העבר לפורום אחר | מחק תגובות | עגן אשכול
       



© כל הזכויות שמורות ל-רוטר.נט בע"מ rotter.net