ABA


"שאלה בנוגע לדירוג מטריצות ופתרון מע' משוואות לינאריות"
גירסת הדפסה        
קבוצות דיון לימודים, מדע ותרבות נושא #11252 מנהל    סגן המנהל    מפקח   Winner    צל"ש   מומחה  
אשכול מספר 11252
matan13
חבר מתאריך 14.7.08
19469 הודעות
   16:55   27.11.11   
אל הפורום  
  שאלה בנוגע לדירוג מטריצות ופתרון מע' משוואות לינאריות  
 
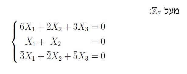
   יש לי את המערכת הבאה מעל Z7:
http://rotter.name/User_files/nor/4ed24f07525a09ac.jpg

אני בטוח שאני לא מבין נכון את כל הענין של מעל שדה אחר, בגלל שאני חושב שכל הפתרונות הם 0 אז כל הxים הם 0.

איך עושים את זה מעל שדה שהוא לא ממשיים?
תודה מראש.


                                שתף        
מכתב זה והנלווה אליו, על אחריות ועל דעת הכותב בלבד

  האשכול     מחבר     תאריך כתיבה     מספר  
  אם אני לא טועה הדירוג רגיל ואתה באמת מקבל 0... TheKid 27.11.11 19:04 1
  אם אני לא טועה TYSON  27.11.11 20:42 2
     +1. תדרג את המטריצה לפי שדה Z7, יש לך איברים 0 עד 6. DanDun 27.11.11 21:50 3
     ומה עם האפסים? הם נשארים אותו דבר? matan13 28.11.11 07:20 4

       
TheKid לחץ כאן להצגת דירוג המשתמש
חבר מתאריך 5.10.07
17978 הודעות, 1 פידבק
   19:04   27.11.11   
אל הפורום  
  1. אם אני לא טועה הדירוג רגיל ואתה באמת מקבל 0...  
בתגובה להודעה מספר 0
 
  


                                                         (ניהול: מחק תגובה)
מכתב זה והנלווה אליו, על אחריות ועל דעת הכותב בלבד
TYSON 
חבר מתאריך 17.9.08
8384 הודעות
   20:42   27.11.11   
אל הפורום  
  2. אם אני לא טועה  
בתגובה להודעה מספר 0
 
   זה אומר שאתה משתמש במספרים 0 עד 6
6 ועוד 1 זה 0 ולא 7
2 פחות 4 זה 5 ולא 2-
וכו' וכו'


תראה אם יוצא לך טוב ככה


                                                         (ניהול: מחק תגובה)
מכתב זה והנלווה אליו, על אחריות ועל דעת הכותב בלבד
DanDun

   21:50   27.11.11   
אל הפורום  
  3. +1. תדרג את המטריצה לפי שדה Z7, יש לך איברים 0 עד 6.  
בתגובה להודעה מספר 2
 
  


                                                         (ניהול: מחק תגובה)
מכתב זה והנלווה אליו, על אחריות ועל דעת הכותב בלבד
matan13
חבר מתאריך 14.7.08
19469 הודעות
   07:20   28.11.11   
אל הפורום  
  4. ומה עם האפסים? הם נשארים אותו דבר?  
בתגובה להודעה מספר 2
 
  


                                                         (ניהול: מחק תגובה)
מכתב זה והנלווה אליו, על אחריות ועל דעת הכותב בלבד

תגובה מהירה  למכתב מספר: 
 
___________________________________________________________________

___________________________________________________________________
למנהלים:  נעל | תייק בארכיון | מחק | העבר לפורום אחר | מחק תגובות | עגן אשכול
       



© כל הזכויות שמורות ל-רוטר.נט בע"מ rotter.net