יומן פעילות
לוח שנה
מבזקי חדשות
תקנון
RSS
כותרות
כותרות לפי תגובה
ניקוי קוקיז
IP
להורדת אפליקציה
בחר פורום
שיחות
ביטקוין ומטבעות קריפטו
כושר ופיתוח גוף
לימודים
צרכנות
הרגע קניתי
שיווק שותפים
כלכלה
בני ה-20
מודיעין
משחקים
תוכנה
חומרה
תיכנות
סמארטפונים
Downloads
שיתוף
מוזיקה
סרטים
צילום
מוטוריקה
לובי
eBay
AliExpress
GearBest
Amazon
Booking
Kiwi
SkyScanner
Trip Advisor
"|שאלה| צריך למצוא את הגבול של הביטוי הבא"
גירסת הדפסה
קבוצות דיון
לימודים, מדע ותרבות
נושא #11273
מנהל
סגן המנהל
מפקח
Winner
צל"ש
מומחה
אשכול מספר 11273
_Poseidon_
חבר מתאריך 1.9.02
976 הודעות
15:34
07.12.11
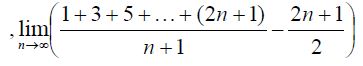
|שאלה| צריך למצוא את הגבול של הביטוי הבא
http://rotter.name/User_files/nor/4edf6b3773993ab9.jpg
התשובה היא 0.5
תודה
שתף
ציוץ
מכתב זה והנלווה אליו, על אחריות ועל דעת הכותב בלבד
האשכול
מחבר
תאריך כתיבה
מספר
סדרה חשבונית
The Slayer
07.12.11
22:44
1
תודה אחי, לא הבנתי איך הגעת לזה..תוכל להסביר לי?
_Poseidon_
07.12.11
23:19
2
מכתב
The Slayer
07.12.11
23:54
3
The Slayer
חבר מתאריך 29.4.03
7959 הודעות
,
2 פידבק
22:44
07.12.11
1. סדרה חשבונית
בתגובה להודעה מספר 0
הביטוי מצד שמאל
((2n+1)+1)(n+1)
-------------
2(n+1)
תצמצם ואין אפילו תלות ב n
(ניהול: מחק תגובה)
מכתב זה והנלווה אליו, על אחריות ועל דעת הכותב בלבד
_Poseidon_
חבר מתאריך 1.9.02
976 הודעות
23:19
07.12.11
2. תודה אחי, לא הבנתי איך הגעת לזה..תוכל להסביר לי?
בתגובה להודעה מספר 1
(ניהול: מחק תגובה)
מכתב זה והנלווה אליו, על אחריות ועל דעת הכותב בלבד
The Slayer
חבר מתאריך 29.4.03
7959 הודעות
,
2 פידבק
23:54
07.12.11
3. מכתב
בתגובה להודעה מספר 2
http://he.wikipedia.org/wiki/%D7%A1%D7%93%D7%A8%D7%94_%D7%97%D7%A9%D7%91%D7%95%D7%A0%D7%99%D7%AA
שים לב שיש n+1 איברים
מהאיבר ה0 עד האיבר הn
(ניהול: מחק תגובה)
מכתב זה והנלווה אליו, על אחריות ועל דעת הכותב בלבד
תגובה מהירה
למכתב מספר:
0 - הכותרת
1
2
3
___________________________________________________________________
___________________________________________________________________
למנהלים:
נעל
|
תייק בארכיון
|
מחק
|
העבר לפורום אחר
|
מחק תגובות
|
עגן אשכול
בחר פורום
שיחות
ביטקוין ומטבעות קריפטו
כושר ופיתוח גוף
לימודים
צרכנות
הרגע קניתי
כלכלה
בני ה-20
מודיעין
משחקים
תוכנה
חומרה
תיכנות
סמארטפונים
Downloads
שיתוף
מוזיקה
סרטים
צילום
מוטוריקה
לובי
© כל הזכויות שמורות ל-רוטר.נט בע"מ
rotter.net