ABA


"|שאלה| חישוב גבולות"
גירסת הדפסה        
קבוצות דיון לימודים, מדע ותרבות נושא #11314 מנהל    סגן המנהל    מפקח   Winner    צל"ש   מומחה  
אשכול מספר 11314
_Poseidon_ 
חבר מתאריך 1.9.02
976 הודעות
   17:55   29.12.11   
אל הפורום  
  |שאלה| חישוב גבולות  
 
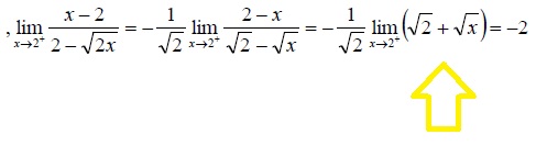
http://rotter.name/User_files/nor/4efc8d324cf3793b.jpg

איך הגיעו לשלב הזה? (מסומן בצהוב)
תודה


                                שתף        
מכתב זה והנלווה אליו, על אחריות ועל דעת הכותב בלבד

  האשכול     מחבר     תאריך כתיבה     מספר  
  תכפול מונה ומכנה בצמודים שלהם inno3D 29.12.11 18:04 1
     צודק, תודה רבה _Poseidon_  29.12.11 18:12 2
         תגיד למה אפשר להעביר חלק מהשבר לצד שמאל של lim? inno3D 29.12.11 18:15 3
             מכתב _Poseidon_  29.12.11 18:28 4
                 כמה דברים _Poseidon_  29.12.11 18:32 5
                     הבנתי, תודה אחי! inno3D 29.12.11 19:01 6
                     המספרים ממשיים, זה לא צמוד. Yoni 31.12.11 00:54 7

       
inno3D
חבר מתאריך 21.4.02
4533 הודעות
   18:04   29.12.11   
אל הפורום  
  1. תכפול מונה ומכנה בצמודים שלהם  
בתגובה להודעה מספר 0
 
   כמעט בטוח..
בגלל ה + שיש שם


                                                         (ניהול: מחק תגובה)
מכתב זה והנלווה אליו, על אחריות ועל דעת הכותב בלבד
_Poseidon_ 
חבר מתאריך 1.9.02
976 הודעות
   18:12   29.12.11   
אל הפורום  
  2. צודק, תודה רבה  
בתגובה להודעה מספר 1
 


                                                         (ניהול: מחק תגובה)
מכתב זה והנלווה אליו, על אחריות ועל דעת הכותב בלבד
inno3D
חבר מתאריך 21.4.02
4533 הודעות
   18:15   29.12.11   
אל הפורום  
  3. תגיד למה אפשר להעביר חלק מהשבר לצד שמאל של lim?  
בתגובה להודעה מספר 2
 
   בגלל שהפונקציה רציפה?
לפי מה ידעת במה לחלק את השבר?

זה דרך אחרת ממה שלמדנו..
אם כופלים בצמודים ישר מההתחלה לא מגיעים לתשובה?


                                                         (ניהול: מחק תגובה)
מכתב זה והנלווה אליו, על אחריות ועל דעת הכותב בלבד
_Poseidon_ 
חבר מתאריך 1.9.02
976 הודעות
   18:28   29.12.11   
אל הפורום  
  4. מכתב  
בתגובה להודעה מספר 3
 
אם תעשה ישר כפל בצמודים לא תגיע לתשובה.
ערך ה-X מלכתחילה מאפס גם את המונה וגם את המכנה, ז"א יש משהו משותף בניהם שמאפס אותם, לשם כך שאוכל לכפול בצמודים הייתי חייב להוציא מהמכנה את הגורם המשותף.


                                                         (ניהול: מחק תגובה)
מכתב זה והנלווה אליו, על אחריות ועל דעת הכותב בלבד
_Poseidon_ 
חבר מתאריך 1.9.02
976 הודעות
   18:32   29.12.11   
אל הפורום  
  5. כמה דברים  
בתגובה להודעה מספר 4
 
1. לא הייתי צריך לכפול בצמודים של שניהם אלא רק בצמוד של המכנה.
2. אם לא תוציא גורם משותף בהתחלה תצטרך לעשות את זה אח"כ אז זה לא משנה.

תנסה


                                                         (ניהול: מחק תגובה)
מכתב זה והנלווה אליו, על אחריות ועל דעת הכותב בלבד
inno3D
חבר מתאריך 21.4.02
4533 הודעות
   19:01   29.12.11   
אל הפורום  
  6. הבנתי, תודה אחי!  
בתגובה להודעה מספר 5
 
  


                                                         (ניהול: מחק תגובה)
מכתב זה והנלווה אליו, על אחריות ועל דעת הכותב בלבד
Yoni
חבר מתאריך 26.5.02
2305 הודעות
   00:54   31.12.11   
אל הפורום  
  7. המספרים ממשיים, זה לא צמוד.  
בתגובה להודעה מספר 5
 


                                                         (ניהול: מחק תגובה)
מכתב זה והנלווה אליו, על אחריות ועל דעת הכותב בלבד

תגובה מהירה  למכתב מספר: 
 
___________________________________________________________________

___________________________________________________________________
למנהלים:  נעל | תייק בארכיון | מחק | העבר לפורום אחר | מחק תגובות | עגן אשכול
       



© כל הזכויות שמורות ל-רוטר.נט בע"מ rotter.net