ABA


"שאלה על טור טיילור"
גירסת הדפסה        
קבוצות דיון לימודים, מדע ותרבות נושא #11363 מנהל    סגן המנהל    מפקח   Winner    צל"ש   מומחה  
אשכול מספר 11363
asco88 
חבר מתאריך 17.6.04
26757 הודעות, דרג אמינות חבר זה
   10:01   25.01.12   
אל הפורום  
  שאלה על טור טיילור  
 
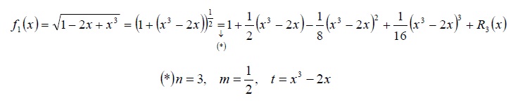
הגעתי לפיתוח של פונקציה כמו בפיתרון:
http://rotter.name/User_files/nor/4f1fb68a11ad68e9.jpg

אבל אח"כ הם כותבים פיתוח שונה, לאן נעלמו לי המשתנים, לא הצלחתי להבין את המעבר הזה:
http://rotter.name/User_files/nor/4f1fb69111b02c5a.jpg

תודה רבה.


                                שתף        
מכתב זה והנלווה אליו, על אחריות ועל דעת הכותב בלבד

  האשכול     מחבר     תאריך כתיבה     מספר  
  לא משנה, הסתדרתי כבר :) asco88  25.01.12 18:17 1

       
asco88 
חבר מתאריך 17.6.04
26757 הודעות, דרג אמינות חבר זה
   18:17   25.01.12   
אל הפורום  
  1. לא משנה, הסתדרתי כבר :)  
בתגובה להודעה מספר 0
 


                                                         (ניהול: מחק תגובה)
מכתב זה והנלווה אליו, על אחריות ועל דעת הכותב בלבד

תגובה מהירה  למכתב מספר: 
 
___________________________________________________________________

___________________________________________________________________
למנהלים:  נעל | תייק בארכיון | מחק | העבר לפורום אחר | מחק תגובות | עגן אשכול
       



© כל הזכויות שמורות ל-רוטר.נט בע"מ rotter.net