ABA


"עזרה בלינארית 2 - מציאת נוסחא כללית לסדרה רקורסיבית"
גירסת הדפסה        
קבוצות דיון לימודים, מדע ותרבות נושא #11470 מנהל    סגן המנהל    מפקח   Winner    צל"ש   מומחה  
אשכול מספר 11470
kobi232
חבר מתאריך 25.4.02
11246 הודעות, דרג אמינות חבר זה
   18:21   02.04.12   
אל הפורום  
  עזרה בלינארית 2 - מציאת נוסחא כללית לסדרה רקורסיבית  
 
   אהלן,


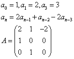
נתונה לי הסדרה הבאה :
http://rotter.name/User_files/nor/4f79c1934d806571.gif

אז הגדרתי את המטריצה A המתאימה וליכנסתי
כך שקיבלתי את המטריצה B:
http://rotter.name/User_files/nor/4f79c2294f19d59c.gif

ומכאן אני אמור למצוא נוסחא כללית לסדרה,
אז אני אמור להעלות את B בחזקת k-1 ולהכפיל מימין ומשמאל במלכנסת P ובהפוכה שלה P^-1 ואת כל זה לכפול בוקטור שמייצג את האיברים הראשונים בסדרה.

מכאן קיבלתי את הנוסחא הבאה :
http://i44.tinypic.com/24mf9co.gif
שאם אני מציב בה נגיד את k=3 אני לא מקבל את הערך הצפוי שהוא 6 :(

עברתי כבר איזה פעמיים על החישובים וזה נראה לי בסדר..
מה יכול להיות לא טוב ?

תודה לעוזרים !


                                שתף        
מכתב זה והנלווה אליו, על אחריות ועל דעת הכותב בלבד

תגובה מהירה
___________________________________________________________________

___________________________________________________________________
למנהלים:  נעל | תייק בארכיון | מחק | העבר לפורום אחר | מחק תגובות | עגן אשכול
       



© כל הזכויות שמורות ל-רוטר.נט בע"מ rotter.net