ABA


"|אלגוריתמים| עזרה בהוכחת משפט אסימפטוטה"
גירסת הדפסה        
קבוצות דיון לימודים, מדע ותרבות נושא #11471 מנהל    סגן המנהל    מפקח   Winner    צל"ש   מומחה  
אשכול מספר 11471
eminem
חבר מתאריך 14.11.03
4348 הודעות, 1 פידבק
   12:34   03.04.12   
אל הפורום  
  |אלגוריתמים| עזרה בהוכחת משפט אסימפטוטה  
 
   לדעתי זה נכון אבל איך מוכיחים את זה?

http://rotter.name/User_files/nor/4f7ac2d87eb6c7e8.gif

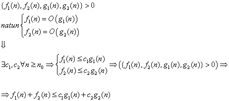
ניסיתי לזרום עם זה, וזה מה שיצא לי, אין לי מושג אם אני בדרך הנכונה או בכלל נכון מה שעשיתי

http://rotter.name/User_files/nor/4f7ac42d02e6e31c.gif

מישהו יכול לעזור לי לתת כיוון?


                                שתף        
מכתב זה והנלווה אליו, על אחריות ועל דעת הכותב בלבד

  האשכול     מחבר     תאריך כתיבה     מספר  
  זה בסדר גמור. רק תוציא c3 משותף ל-c1, c2 ותגדיר (c3*(g1+g2 בשביל שלמות ldan192  03.04.12 16:50 1
     {c3 = max{c1, c2 כמובן ldan192  03.04.12 16:51 2
         המון תודה!!! eminem 03.04.12 18:42 3
  מה זה אחי, באיזה קורס אתם לומדים את זה? MrSus 04.04.12 12:54 4
     יסודות מבנה נתונים eminem 04.04.12 13:46 5

       
ldan192 
חבר מתאריך 14.9.08
95119 הודעות
   16:50   03.04.12   
אל הפורום  
  1. זה בסדר גמור. רק תוציא c3 משותף ל-c1, c2 ותגדיר (c3*(g1+g2 בשביל שלמות  
בתגובה להודעה מספר 0
 


בברכה,
עידן


                                                         (ניהול: מחק תגובה)
מכתב זה והנלווה אליו, על אחריות ועל דעת הכותב בלבד
ldan192 
חבר מתאריך 14.9.08
95119 הודעות
   16:51   03.04.12   
אל הפורום  
  2. {c3 = max{c1, c2 כמובן  
בתגובה להודעה מספר 1
 


בברכה,
עידן


                                                         (ניהול: מחק תגובה)
מכתב זה והנלווה אליו, על אחריות ועל דעת הכותב בלבד
eminem
חבר מתאריך 14.11.03
4348 הודעות, 1 פידבק
   18:42   03.04.12   
אל הפורום  
  3. המון תודה!!!  
בתגובה להודעה מספר 2
 
  


                                                         (ניהול: מחק תגובה)
מכתב זה והנלווה אליו, על אחריות ועל דעת הכותב בלבד
MrSus
חבר מתאריך 8.5.09
1801 הודעות
   12:54   04.04.12   
אל הפורום  
  4. מה זה אחי, באיזה קורס אתם לומדים את זה?  
בתגובה להודעה מספר 0
 
  


                                                         (ניהול: מחק תגובה)
מכתב זה והנלווה אליו, על אחריות ועל דעת הכותב בלבד
eminem
חבר מתאריך 14.11.03
4348 הודעות, 1 פידבק
   13:46   04.04.12   
אל הפורום  
  5. יסודות מבנה נתונים  
בתגובה להודעה מספר 4
 
  


                                                         (ניהול: מחק תגובה)
מכתב זה והנלווה אליו, על אחריות ועל דעת הכותב בלבד

תגובה מהירה  למכתב מספר: 
 
___________________________________________________________________

___________________________________________________________________
למנהלים:  נעל | תייק בארכיון | מחק | העבר לפורום אחר | מחק תגובות | עגן אשכול
       



© כל הזכויות שמורות ל-רוטר.נט בע"מ rotter.net