ABA


"נראה לכם עשיתי טעות בצימצום או שזה לא הולך ככה?"
גירסת הדפסה        
קבוצות דיון לימודים, מדע ותרבות נושא #11529 מנהל    סגן המנהל    מפקח   Winner    צל"ש   מומחה  
אשכול מספר 11529
TYSON 
חבר מתאריך 17.9.08
8384 הודעות
   18:14   22.05.12   
אל הפורום  
  נראה לכם עשיתי טעות בצימצום או שזה לא הולך ככה?  
 
   ממבחן באוניברסיטה
לערער או לא?
אני שואל כי בודקים את כל המבחן מחדש ויש סיכוי גבוהה שיורידו לי סתם כי שונאים אנשים שמערערים
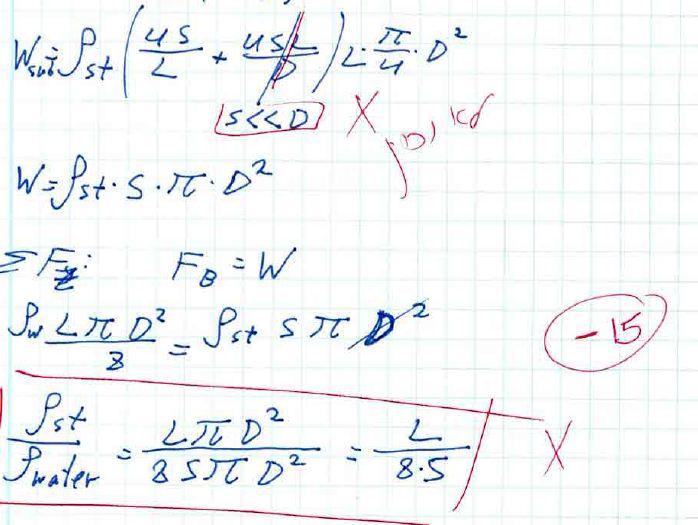
היה נתון ש-S קטן מאוד מ-D
ולכן צמצמתי את השבר הזה
זה היה סעיף א'
http://rotter.name/User_files/nor/4fbbad3222b763fd.jpg

ובתמונה השניה יש את סעיף ב' ו-ג' שמסתמכים על א'

http://rotter.name/User_files/nor/4fbbad3b22fc1d27.jpg


שזה אומר שהצמצום היה נכון בסופו של דבר


                                שתף        
מכתב זה והנלווה אליו, על אחריות ועל דעת הכותב בלבד

  האשכול     מחבר     תאריך כתיבה     מספר  
  טעית בשורה הראשונה כי לא כפלת בD בריבוע שהיה בחוץ TheKid 22.05.12 19:38 1
     כפלתי... איפה אתה רואה שפיספסתי את זה? TYSON  23.05.12 19:58 4
         יש לך מחוץ לסורים D בריבוע TheKid 23.05.12 21:41 5
             צודק הבנתי אותך. תודה! TYSON  24.05.12 09:08 7
  חחח קסם NoBuddy 22.05.12 20:21 2
  חחחח קסם dvir8 23.05.12 09:31 3
  חחחח קסם LaVy 23.05.12 22:24 6

       
TheKid לחץ כאן להצגת דירוג המשתמש
חבר מתאריך 5.10.07
17978 הודעות, 1 פידבק
   19:38   22.05.12   
אל הפורום  
  1. טעית בשורה הראשונה כי לא כפלת בD בריבוע שהיה בחוץ  
בתגובה להודעה מספר 0
 
   והוא רומז לך שהוא חושד שהעתקת...


                                                         (ניהול: מחק תגובה)
מכתב זה והנלווה אליו, על אחריות ועל דעת הכותב בלבד
TYSON 
חבר מתאריך 17.9.08
8384 הודעות
   19:58   23.05.12   
אל הפורום  
  4. כפלתי... איפה אתה רואה שפיספסתי את זה?  
בתגובה להודעה מספר 1
 
  


                                                         (ניהול: מחק תגובה)
מכתב זה והנלווה אליו, על אחריות ועל דעת הכותב בלבד
TheKid לחץ כאן להצגת דירוג המשתמש
חבר מתאריך 5.10.07
17978 הודעות, 1 פידבק
   21:41   23.05.12   
אל הפורום  
  5. יש לך מחוץ לסורים D בריבוע  
בתגובה להודעה מספר 4
 
   ערכתי לאחרונה בתאריך 23.05.12 בשעה 21:45 בברכה, TheKid
 
אסור לך היה לצמצם את מה שבתוך הסוגריים היית צריך לכפול קודם לפני הצמצום..
מה שעשית שקול לדבר הזה...

x^3=x^4*(1/x)

ואם x שואף לאינסוף
אז הביטוי אפס...
כי

1/x

שואף לאפס.


                                                         (ניהול: מחק תגובה)
מכתב זה והנלווה אליו, על אחריות ועל דעת הכותב בלבד
TYSON 
חבר מתאריך 17.9.08
8384 הודעות
   09:08   24.05.12   
אל הפורום  
  7. צודק הבנתי אותך. תודה!  
בתגובה להודעה מספר 5
 
  


                                                         (ניהול: מחק תגובה)
מכתב זה והנלווה אליו, על אחריות ועל דעת הכותב בלבד
NoBuddy
חבר מתאריך 2.7.02
14473 הודעות
   20:21   22.05.12   
אל הפורום  
  2. חחח קסם  
בתגובה להודעה מספר 0
 
  


                                                         (ניהול: מחק תגובה)
מכתב זה והנלווה אליו, על אחריות ועל דעת הכותב בלבד
dvir8
חבר מתאריך 13.5.02
5929 הודעות
   09:31   23.05.12   
אל הפורום  
  3. חחחח קסם  
בתגובה להודעה מספר 0
 
  


                                                         (ניהול: מחק תגובה)
מכתב זה והנלווה אליו, על אחריות ועל דעת הכותב בלבד
LaVy
חבר מתאריך 20.2.12
390 הודעות
   22:24   23.05.12   
אל הפורום  
  6. חחחח קסם  
בתגובה להודעה מספר 0
 
  


                                                         (ניהול: מחק תגובה)
מכתב זה והנלווה אליו, על אחריות ועל דעת הכותב בלבד

תגובה מהירה  למכתב מספר: 
 
___________________________________________________________________

___________________________________________________________________
למנהלים:  נעל | תייק בארכיון | מחק | העבר לפורום אחר | מחק תגובות | עגן אשכול
       



© כל הזכויות שמורות ל-רוטר.נט בע"מ rotter.net