ABA


"שאלה משוואות טריגונומטריות"
גירסת הדפסה        
קבוצות דיון לימודים, מדע ותרבות נושא #11601 מנהל    סגן המנהל    מפקח   Winner    צל"ש   מומחה  
אשכול מספר 11601
BLACK DOG 
חבר מתאריך 1.8.02
150 הודעות, דרג אמינות חבר זה
   20:54   10.08.12   
אל הפורום  
  שאלה משוואות טריגונומטריות  
 
   השיתגעתי כבר עם התרגיל הזה

sin3x+3sin2x+sinx=0

עם מישהו יכול לכוון אותי אני תקוע כבר כמה ימים
תודה מראש

Redot


                                שתף        
מכתב זה והנלווה אליו, על אחריות ועל דעת הכותב בלבד

  האשכול     מחבר     תאריך כתיבה     מספר  
  בבקשה eminem 10.08.12 21:31 1
     טעיתי החסרתי נתון קריטי BLACK DOG  10.08.12 22:16 3
         מכתב eminem 10.08.12 22:22 4
             רק עם תוכל להסביר לי התשובות בספר נראות שונות BLACK DOG  10.08.12 23:34 5
                 אם תאחד את התשובה הראשונה והשניה תקבל x=120k eminem 11.08.12 00:12 6
  ניסיון שלי, אין לי מושג אם זה נכון Sylver 10.08.12 21:50 2
     לא רלוונטי כי שכחת נתון Sylver 11.08.12 07:01 7

       
eminem
חבר מתאריך 14.11.03
4348 הודעות, 1 פידבק, -2 נקודות
   21:31   10.08.12   
אל הפורום  
  1. בבקשה  
בתגובה להודעה מספר 0
 
   http://rotter.name/User_files/nor/50255394774bc6a2.gif


                                                         (ניהול: מחק תגובה)
מכתב זה והנלווה אליו, על אחריות ועל דעת הכותב בלבד
BLACK DOG 
חבר מתאריך 1.8.02
150 הודעות, דרג אמינות חבר זה
   22:16   10.08.12   
אל הפורום  
  3. טעיתי החסרתי נתון קריטי  
בתגובה להודעה מספר 1
 
   המשוואה המקורית היא
sin3x+3sin2x+3sinx=0

זוית משולשת זוית כפולה וזוית יחידה
והתשובה לפי הספר היא
x=120k
x=180+360k

Redot


                                                         (ניהול: מחק תגובה)
מכתב זה והנלווה אליו, על אחריות ועל דעת הכותב בלבד
eminem
חבר מתאריך 14.11.03
4348 הודעות, 1 פידבק, -2 נקודות
   22:22   10.08.12   
אל הפורום  
  4. מכתב  
בתגובה להודעה מספר 3
 
   http://rotter.name/User_files/nor/50255f860efb7613.gif


                                                         (ניהול: מחק תגובה)
מכתב זה והנלווה אליו, על אחריות ועל דעת הכותב בלבד
BLACK DOG 
חבר מתאריך 1.8.02
150 הודעות, דרג אמינות חבר זה
   23:34   10.08.12   
אל הפורום  
  5. רק עם תוכל להסביר לי התשובות בספר נראות שונות  
בתגובה להודעה מספר 4
 
   לפי הפתרון שלך אנחנו מקבלים
sinx=0
{
x= 180k
}

cosx=-0.5
{
x = +-120+320k
}

cosx=-1
{
x = 180+360k
}
ובספר יש
x = 120k
x = 180+360k

למה זה?

Redot


                                                         (ניהול: מחק תגובה)
מכתב זה והנלווה אליו, על אחריות ועל דעת הכותב בלבד
eminem
חבר מתאריך 14.11.03
4348 הודעות, 1 פידבק, -2 נקודות
   00:12   11.08.12   
אל הפורום  
  6. אם תאחד את התשובה הראשונה והשניה תקבל x=120k  
בתגובה להודעה מספר 5
 
  


                                                         (ניהול: מחק תגובה)
מכתב זה והנלווה אליו, על אחריות ועל דעת הכותב בלבד
Sylver
חבר מתאריך 1.7.02
11915 הודעות, 2 פידבק, 0 נקודות
   21:50   10.08.12   
אל הפורום  
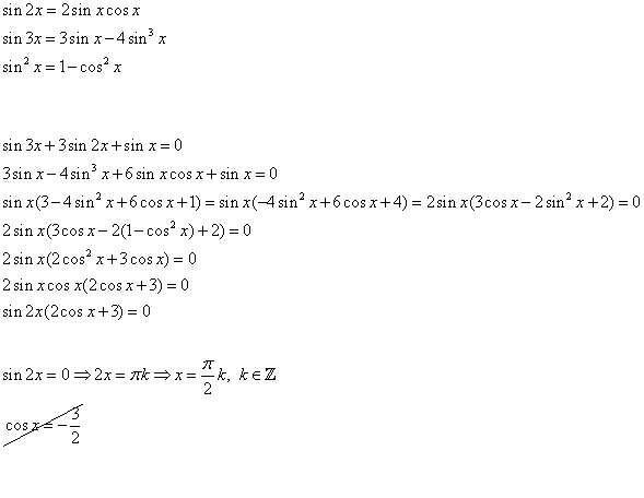
  2. ניסיון שלי, אין לי מושג אם זה נכון  
בתגובה להודעה מספר 0
 
   ערכתי לאחרונה בתאריך 10.08.12 בשעה 22:12 בברכה, Sylver
 
http://i.imgur.com/KO1Hg.jpg

זהו :|~
חח אין לי מושג אם זה נכון. השתמשתי פה בזהות משולשת של סינוס אבל לא נתקלתי בזה לפני. היית צריך לרשום באיזה רמה מדובר, אם זה תיכון או מתמטיקה גבוהה. אה, ואת התשובה.


                                                         (ניהול: מחק תגובה)
מכתב זה והנלווה אליו, על אחריות ועל דעת הכותב בלבד
Sylver
חבר מתאריך 1.7.02
11915 הודעות, 2 פידבק, 0 נקודות
   07:01   11.08.12   
אל הפורום  
  7. לא רלוונטי כי שכחת נתון  
בתגובה להודעה מספר 2
 
   בכל מקרה זה לא תרגיל קשה פשוט צריך לפרק את הזוית הכפולה והמשולשת לפי הזהויות שלהן ולזרום.


                                                         (ניהול: מחק תגובה)
מכתב זה והנלווה אליו, על אחריות ועל דעת הכותב בלבד

תגובה מהירה  למכתב מספר: 
 
___________________________________________________________________

___________________________________________________________________
למנהלים:  נעל | תייק בארכיון | מחק | העבר לפורום אחר | מחק תגובות | עגן אשכול
       



© כל הזכויות שמורות ל-רוטר.נט בע"מ rotter.net