ABA


"|עזרה בהוכחה| משהו פשוט באלגברה.."
גירסת הדפסה        
קבוצות דיון לימודים, מדע ותרבות נושא #11608 מנהל    סגן המנהל    מפקח   Winner    צל"ש   מומחה  
אשכול מספר 11608
Crazy Lion  לחץ כאן להצגת דירוג המשתמש
חבר מתאריך 1.7.02
19328 הודעות, 9 פידבק
   13:32   16.08.12   
אל הפורום  
  |עזרה בהוכחה| משהו פשוט באלגברה..  
 
   1\(n-1)!*(n+1)+ 1\(n+1)!=1\N!

צריך הוכחה ללא הצבה
תודה

1 לחלק N פחות 1 עצרת כפול N+1 כל זה ועוד 1 לחלק N+1 עצרת שווה ל 1 לחלק N עצרת

צריך הוכחה ללא הצבה כי בהצבה פתרתי אבל להוכיח ככה באלגברה לא הצלחתי
תודה

מילוי סקרים בתשלום למי שמעונין ,
משלם בזמן וקל להגיע ליעד :
https://goo.gl/EJh6V2


                                שתף        
מכתב זה והנלווה אליו, על אחריות ועל דעת הכותב בלבד

  האשכול     מחבר     תאריך כתיבה     מספר  
  תנסה לרשום שוב פעם את התרגיל.. zbengg 16.08.12 17:20 1
  הנה לך eminem 17.08.12 09:30 2
  אני חושב שאתה צריך לפתור את זה באינדוקציה.. gilgol1 22.08.12 11:46 3
     אתה יכול, אבל מה רע במה שאני נתתי לו בצורה אלגברית? eminem 22.08.12 14:22 4

       
zbengg
חבר מתאריך 24.9.08
2300 הודעות
   17:20   16.08.12   
אל הפורום  
  1. תנסה לרשום שוב פעם את התרגיל..  
בתגובה להודעה מספר 0
 
   ה N וn זה אותו אחד נכון? והכפל שיש באגף שמאל הוא בשבר למטה?
אם כן אז פשוט תעשה מכנה משותף לאגף שמאל.. צריך רק לכפול ב n כדי לעשות מכנה משותף.. ואז יוצא 1+n חלקי 1+n עצרת צמצם את העצרת ויוצא התוצאה


                                                         (ניהול: מחק תגובה)
מכתב זה והנלווה אליו, על אחריות ועל דעת הכותב בלבד
eminem
חבר מתאריך 14.11.03
4348 הודעות, 1 פידבק
   09:30   17.08.12   
אל הפורום  
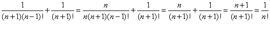
  2. הנה לך  
בתגובה להודעה מספר 0
 
   http://rotter.name/User_files/nor/502de49566cd05e2.gif

אגב, עצם העובדה שאתה מציב נתונים ומקבל אמת זה לא נקרא הוכחה
גם אם תציב מליון ערכים ותקבל תשובה נכונה זה עדיין לא הוכחה


                                                         (ניהול: מחק תגובה)
מכתב זה והנלווה אליו, על אחריות ועל דעת הכותב בלבד
gilgol1 לחץ כאן להצגת דירוג המשתמש
חבר מתאריך 15.6.10
1057 הודעות, 2 פידבק
   11:46   22.08.12   
אל הפורום  
  3. אני חושב שאתה צריך לפתור את זה באינדוקציה..  
בתגובה להודעה מספר 0
 
  


                                                         (ניהול: מחק תגובה)
מכתב זה והנלווה אליו, על אחריות ועל דעת הכותב בלבד
eminem
חבר מתאריך 14.11.03
4348 הודעות, 1 פידבק
   14:22   22.08.12   
אל הפורום  
  4. אתה יכול, אבל מה רע במה שאני נתתי לו בצורה אלגברית?  
בתגובה להודעה מספר 3
 
   אינדוקציה סתם יסבך לך פה את החיים


                                                         (ניהול: מחק תגובה)
מכתב זה והנלווה אליו, על אחריות ועל דעת הכותב בלבד

תגובה מהירה  למכתב מספר: 
 
___________________________________________________________________

___________________________________________________________________
למנהלים:  נעל | תייק בארכיון | מחק | העבר לפורום אחר | מחק תגובות | עגן אשכול
       



© כל הזכויות שמורות ל-רוטר.נט בע"מ rotter.net