ABA


"שאלה במתמטיקה"
גירסת הדפסה        
קבוצות דיון לימודים, מדע ותרבות נושא #11631 מנהל    סגן המנהל    מפקח   Winner    צל"ש   מומחה  
אשכול מספר 11631
eeshke
חבר מתאריך 24.5.05
1377 הודעות
   19:50   23.08.12   
אל הפורום  
  שאלה במתמטיקה  
 
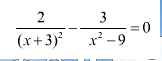
   שלום


למה המכנה המשותף הוא x-3 x+3 x+3

למה יש x+3 פעמיים הרי גם במכנה השני יש x+3

למה לא מספיק לקחת בתור מכנה משותף x+3 x-3
http://rotter.name/User_files/nor/50365f5948301ba7.jpg


                                שתף        
מכתב זה והנלווה אליו, על אחריות ועל דעת הכותב בלבד

  האשכול     מחבר     תאריך כתיבה     מספר  
  מכתב דבשמקר 23.08.12 20:08 1

       
דבשמקר
חבר מתאריך 21.11.16
24 הודעות
   20:08   23.08.12   
אל הפורום  
  1. מכתב  
בתגובה להודעה מספר 0
 
   המכנים של של שני השברים שונים אחד מהשני.
המכנה הימני הוא
(x+3) * )X+3(
לעומת זאת, לפי נוסחת כפל מקוצר המכנה של הביטוי השמאלי הוא
(X+3) * )X-3(

לכן במכנה הימני "חסר" ביטוי "מסוג" X-3,
בעוד שבשמאלי חסר ביטוי שני מסוג X+3.


                                                         (ניהול: מחק תגובה)
מכתב זה והנלווה אליו, על אחריות ועל דעת הכותב בלבד

תגובה מהירה  למכתב מספר: 
 
___________________________________________________________________

___________________________________________________________________
למנהלים:  נעל | תייק בארכיון | מחק | העבר לפורום אחר | מחק תגובות | עגן אשכול
       
דרג לפי חשיבות הנושא  דרג לפי חשיבות הנושא   



© כל הזכויות שמורות ל-רוטר.נט בע"מ rotter.net