ABA


"צריך את עזרתכם בפתירת תרגיל במשוואות מתמטיות(שיטת ההצבה)"
גירסת הדפסה        
קבוצות דיון לימודים, מדע ותרבות נושא #11685 מנהל    סגן המנהל    מפקח   Winner    צל"ש   מומחה  
אשכול מספר 11685
djapple 
חבר מתאריך 28.4.03
855 הודעות, דרג אמינות חבר זה
   17:46   28.09.12   
אל הפורום  
  צריך את עזרתכם בפתירת תרגיל במשוואות מתמטיות(שיטת ההצבה)  
 
   היי חברים,
אני מנסה לפתור תרגיל במתמטיקה ולא מצליח זקוק לערתכם
התרגיל הולך כך:
5X+3Y=36
X=Y+4

זה דחוף לי
תודה


                                שתף        
מכתב זה והנלווה אליו, על אחריות ועל דעת הכותב בלבד

  האשכול     מחבר     תאריך כתיבה     מספר  
  הנה פתרון I-MAC  28.09.12 18:01 1
     תותח!!!!! תודה רבה djapple  28.09.12 18:12 2
  תראה לי בבקשה גם את הדרך השנייה djapple  28.09.12 18:15 3
     ערכתי והוסופתי לתגובה הראשונה I-MAC  28.09.12 18:17 4
  למה כפול 5 או 3? djapple  28.09.12 18:17 5
     תלוי אם אתה רוצה לחבר בינהם או לחסר בינהם I-MAC  28.09.12 18:20 6
  צודק אתה מכיר איזה אתר שיעזור לי להבין djapple  28.09.12 18:23 7
     פעם היה את אינטרלקט אבל אני לא יודע איך הוא היום I-MAC  28.09.12 18:28 8
         טוב אם אפשר בוא תנסה לעזור לי עם תרגיל נוסף רק להבין מה אני נדרש לעשות djapple  28.09.12 18:57 10
             תנסה לחלק את המשוואה השניה ב2 I-MAC  28.09.12 19:00 11
                 ניסיתי לא הסתדרתי מישהו מוכן לתרום מזמנו ולעזור לי עם זה djapple  28.09.12 23:02 12
                     עפ''י I-MAC Dj EreZ 29.09.12 01:21 14
                         כל הכבוד!!! dr70 29.09.12 01:28 15
                             חילקתי את המשוואה השנייה ב-2 Dj EreZ 29.09.12 01:51 16
                         זאת גם התשובה שיצאה לי!!!! אבל.... djapple  29.09.12 02:13 17
                             חברים כנראה שהשעה השפיעה גם עלי התרגיל הנכון הוא: djapple  29.09.12 02:25 18
             קבל לפי מה ש-I-MAC הציע: dr70 29.09.12 01:19 13
                 הטעות היא בחיסור משוואות I-MAC  29.09.12 08:18 19
  סדר מחיר djapple  28.09.12 18:48 9

       
I-MAC 
חבר מתאריך 18.10.02
19256 הודעות
   18:01   28.09.12   
אל הפורום  
  1. הנה פתרון  
בתגובה להודעה מספר 0
 
   ערכתי לאחרונה בתאריך 28.09.12 בשעה 18:14 בברכה, I-MAC
 

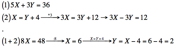
דרך 1:
לקחתי את המשוואה השניה ששם הX מבודד והצבתי אותו במשוואה הראשונה.
מצאתי את Y ואז הצבתי במשוואה השניה ומצאתי את הX.

http://rotter.name/User_files/nor/5065ca8c79ecd907.jpg


דרך 2:
יש עוד דרך שבה כופלים את המשוואה השניה ב3 או 5.
ואז מחסרים\מחברים את המשוואה השניה מהראשונה.
ככה אתה נפטר מנעלם אחד ואח"כ אתה חוזר ומציב את מה שמצאת באחת המשוואות ומוצא את הנעלם השני.

http://rotter.name/User_files/nor/5065ccc901ba6272.jpg


אם משהו לא ברור תשאל


                                                         (ניהול: מחק תגובה)
מכתב זה והנלווה אליו, על אחריות ועל דעת הכותב בלבד
djapple 
חבר מתאריך 28.4.03
855 הודעות, דרג אמינות חבר זה
   18:12   28.09.12   
אל הפורום  
  2. תותח!!!!! תודה רבה  
בתגובה להודעה מספר 1
 
  


                                                         (ניהול: מחק תגובה)
מכתב זה והנלווה אליו, על אחריות ועל דעת הכותב בלבד
djapple 
חבר מתאריך 28.4.03
855 הודעות, דרג אמינות חבר זה
   18:15   28.09.12   
אל הפורום  
  3. תראה לי בבקשה גם את הדרך השנייה  
בתגובה להודעה מספר 0
 
  


                                                         (ניהול: מחק תגובה)
מכתב זה והנלווה אליו, על אחריות ועל דעת הכותב בלבד
I-MAC 
חבר מתאריך 18.10.02
19256 הודעות
   18:17   28.09.12   
אל הפורום  
  4. ערכתי והוסופתי לתגובה הראשונה  
בתגובה להודעה מספר 3
 
  


                                                         (ניהול: מחק תגובה)
מכתב זה והנלווה אליו, על אחריות ועל דעת הכותב בלבד
djapple 
חבר מתאריך 28.4.03
855 הודעות, דרג אמינות חבר זה
   18:17   28.09.12   
אל הפורום  
  5. למה כפול 5 או 3?  
בתגובה להודעה מספר 0
 
  


                                                         (ניהול: מחק תגובה)
מכתב זה והנלווה אליו, על אחריות ועל דעת הכותב בלבד
I-MAC 
חבר מתאריך 18.10.02
19256 הודעות
   18:20   28.09.12   
אל הפורום  
  6. תלוי אם אתה רוצה לחבר בינהם או לחסר בינהם  
בתגובה להודעה מספר 5
 
   אתה צריך להגיע למצב שאחד מהנעלמים יעלם.
5 ו3 הם המקדמים של הנעלמים אז אני אכפול במספרים האלה ככה זה יצטמצם בקלות.

מתמטיקה צריך ללמוד מתרגול, תשב תנסה ותבין.


                                                         (ניהול: מחק תגובה)
מכתב זה והנלווה אליו, על אחריות ועל דעת הכותב בלבד
djapple 
חבר מתאריך 28.4.03
855 הודעות, דרג אמינות חבר זה
   18:23   28.09.12   
אל הפורום  
  7. צודק אתה מכיר איזה אתר שיעזור לי להבין  
בתגובה להודעה מספר 0
 
  


                                                         (ניהול: מחק תגובה)
מכתב זה והנלווה אליו, על אחריות ועל דעת הכותב בלבד
I-MAC 
חבר מתאריך 18.10.02
19256 הודעות
   18:28   28.09.12   
אל הפורום  
  8. פעם היה את אינטרלקט אבל אני לא יודע איך הוא היום  
בתגובה להודעה מספר 7
 
   אני מכיר את Gool.co.il שהוא עולה כסף אבל אני מכיר את הבעלים והוא תותח


                                                         (ניהול: מחק תגובה)
מכתב זה והנלווה אליו, על אחריות ועל דעת הכותב בלבד
djapple 
חבר מתאריך 28.4.03
855 הודעות, דרג אמינות חבר זה
   18:57   28.09.12   
אל הפורום  
  10. טוב אם אפשר בוא תנסה לעזור לי עם תרגיל נוסף רק להבין מה אני נדרש לעשות  
בתגובה להודעה מספר 8
 
   ללא פתרון
זה התרגיל:
7X-3Y=9
4X-2Y=14


                                                         (ניהול: מחק תגובה)
מכתב זה והנלווה אליו, על אחריות ועל דעת הכותב בלבד
I-MAC 
חבר מתאריך 18.10.02
19256 הודעות
   19:00   28.09.12   
אל הפורום  
  11. תנסה לחלק את המשוואה השניה ב2  
בתגובה להודעה מספר 10
 
   ואז להציב כמו בתרגיל הקודם בדרך הראשונה.

אתה יכול גם לכפול ב1.5 ואז לחסר בין המשוואות.


                                                         (ניהול: מחק תגובה)
מכתב זה והנלווה אליו, על אחריות ועל דעת הכותב בלבד
djapple 
חבר מתאריך 28.4.03
855 הודעות, דרג אמינות חבר זה
   23:02   28.09.12   
אל הפורום  
  12. ניסיתי לא הסתדרתי מישהו מוכן לתרום מזמנו ולעזור לי עם זה  
בתגובה להודעה מספר 11
 
   אני מעדיף אם אפשר לקבל את התשובה שלב אחרי שלב יחד איתי

תודה ל-I-MAC על העזרה הרבה בתרגיל הקודם אני באמת מעריך את העזרה


                                                         (ניהול: מחק תגובה)
מכתב זה והנלווה אליו, על אחריות ועל דעת הכותב בלבד
Dj EreZ
חבר מתאריך 17.3.10
409 הודעות
   01:21   29.09.12   
אל הפורום  
  14. עפ''י I-MAC  
בתגובה להודעה מספר 12
 
   http://rotter.name/User_files/nor/506631805f91c39b.png


                                                         (ניהול: מחק תגובה)
מכתב זה והנלווה אליו, על אחריות ועל דעת הכותב בלבד
dr70
חבר מתאריך 17.9.02
21853 הודעות
   01:28   29.09.12   
אל הפורום  
  15. כל הכבוד!!!  
בתגובה להודעה מספר 14
 
   זה נראה לי נכון. למרות ש-I-MAC כתב על חלוקה ב-1.5 ולא במינוס 1.

אבל עדיין זה נראה שזה יצא נכון. המספרים אצלך שלמים בניגוד למה שיצא לי.


לך שעזרת לו וחג שמח,


                                                         (ניהול: מחק תגובה)
מכתב זה והנלווה אליו, על אחריות ועל דעת הכותב בלבד
Dj EreZ
חבר מתאריך 17.3.10
409 הודעות
   01:51   29.09.12   
אל הפורום  
  16. חילקתי את המשוואה השנייה ב-2  
בתגובה להודעה מספר 15
 
   כמו ש-IMAC אמר.
גם הדרך שלך נכונה רק שהיית צריך לרשום שם ישר x=-12 ולא 13x=-12.
אבל השעה הזאת תהרוג את כולנו בסוף חח ;)


                                                         (ניהול: מחק תגובה)
מכתב זה והנלווה אליו, על אחריות ועל דעת הכותב בלבד
djapple 
חבר מתאריך 28.4.03
855 הודעות, דרג אמינות חבר זה
   02:13   29.09.12   
אל הפורום  
  17. זאת גם התשובה שיצאה לי!!!! אבל....  
בתגובה להודעה מספר 14
 
   בספר התשובה שונה
לפי הספר התשובה היא כך:
Y=4
X=3


                                                         (ניהול: מחק תגובה)
מכתב זה והנלווה אליו, על אחריות ועל דעת הכותב בלבד
djapple 
חבר מתאריך 28.4.03
855 הודעות, דרג אמינות חבר זה
   02:25   29.09.12   
אל הפורום  
  18. חברים כנראה שהשעה השפיעה גם עלי התרגיל הנכון הוא:  
בתגובה להודעה מספר 17
 
   7X-3Y=9
Y=3X-5

אין לי מושג מאיפה הבאתי את השורה השניה ... אבל כנראה לא מהספר

פתרתי והכל הסתדר

תודה לכולכם!!!!


                                                         (ניהול: מחק תגובה)
מכתב זה והנלווה אליו, על אחריות ועל דעת הכותב בלבד
dr70
חבר מתאריך 17.9.02
21853 הודעות
   01:19   29.09.12   
אל הפורום  
  13. קבל לפי מה ש-I-MAC הציע:  
בתגובה להודעה מספר 10
 
   7x-3=9
4x-2y=14

את המשוואה השנייה אני כופל במינוס 1.5. ככה אני מגיע למצב שבו יש לי 3y מינוס 3y ולמעשה אני מבטל את ה-y.

7x-3y=9 (המשוואה הזאת ללא שינוי)
6x+3y=21- (כאן כפלתי במינוס 1.5. כשכופלים מינוס במינוס התוצאה היא בפלוס. לכן אני מקבל כאן +3y).

עכשיו אני מחסר את המשוואות:

7x-3y=9
6x+3y=21- -
_________
13x=-12 (ה-13x זה שוב בגלל שמינוס מינוס = פלוס).

עכשיו אני מחלק ב-13 כדי למצוא את x.

x=-1.083333333 מתוך הנחה שלא טעיתי כמובן.

כי זה קצת מוזר לי שמתקבלת תוצאה עם מספר כזה לא עגול.

בדרך כלל כשיש מספר כזה, זה מעיד על טעות. אבל אני עייף מדי בשעה כזאת כדי לבדוק איפה הטעות שלי.

אבל אני מקווה שהבנת את העיקרון.

חג שמח,


                                                         (ניהול: מחק תגובה)
מכתב זה והנלווה אליו, על אחריות ועל דעת הכותב בלבד
I-MAC 
חבר מתאריך 18.10.02
19256 הודעות
   08:18   29.09.12   
אל הפורום  
  19. הטעות היא בחיסור משוואות  
בתגובה להודעה מספר 13
 
   במקרה הזה צריך לחבר את המשוואות.
שים לב שמינונה 3y פחות 3y זה מינוס 6y ולא 0 כמו שאתה עשית.


                                                         (ניהול: מחק תגובה)
מכתב זה והנלווה אליו, על אחריות ועל דעת הכותב בלבד
djapple 
חבר מתאריך 28.4.03
855 הודעות, דרג אמינות חבר זה
   18:48   28.09.12   
אל הפורום  
  9. סדר מחיר  
בתגובה להודעה מספר 0
 
  


                                                         (ניהול: מחק תגובה)
מכתב זה והנלווה אליו, על אחריות ועל דעת הכותב בלבד

תגובה מהירה  למכתב מספר: 
 
___________________________________________________________________

___________________________________________________________________
למנהלים:  נעל | תייק בארכיון | מחק | העבר לפורום אחר | מחק תגובות | עגן אשכול
       
דרג לפי חשיבות הנושא  דרג לפי חשיבות הנושא   



© כל הזכויות שמורות ל-רוטר.נט בע"מ rotter.net