ABA


"|מתמטיקה| עזרה לגבי הוכחת נוסחת הכלה והדחה באינדוקציה."
גירסת הדפסה        
קבוצות דיון לימודים, מדע ותרבות נושא #11802 מנהל    סגן המנהל    מפקח   Winner    צל"ש   מומחה  
אשכול מספר 11802
kobi232
חבר מתאריך 25.4.02
11246 הודעות
   12:24   01.11.12   
אל הפורום  
  |מתמטיקה| עזרה לגבי הוכחת נוסחת הכלה והדחה באינדוקציה.  
 
   היי,

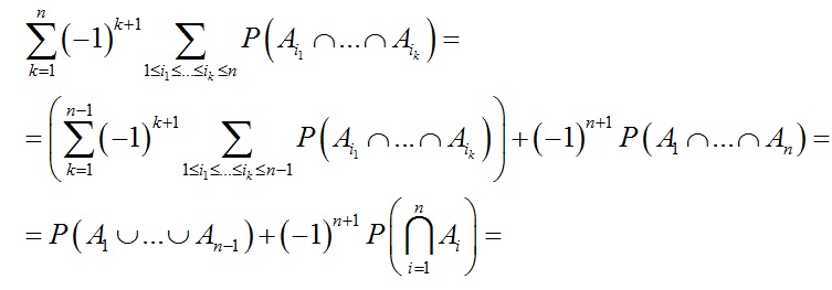
אני צריך להוכיח את נוסחת ההכלה והדחה באינדוקציה ואני דיי תקוע:
http://rotter.name/User_files/nor/50924d2451758b0b.jpg

ניסיתי עם דה-מורגן וכאלה והסתבכתי עם זה עוד יותר
מישהו יכול לתת לי כיוון (אני לא מחפש פיתרון מלא :))

תודה רבה |כן|


                                שתף        
מכתב זה והנלווה אליו, על אחריות ועל דעת הכותב בלבד

  האשכול     מחבר     תאריך כתיבה     מספר  
  אתה יכול להשתמש בקומבינטוריקה? inno3D 01.11.12 12:57 1
     כן, לא חושב שיש איזה הגבלה כלשהי לגבי במה אפשר להשתמש kobi232 01.11.12 14:24 2
  אם אני זוכר נכון... eminem 01.11.12 19:09 3
     תודה אבל.. kobi232 02.11.12 10:40 4
  תניח שיש איבר x שנמצא ב n קבוצות inno3D 02.11.12 12:50 5

       
inno3D
חבר מתאריך 21.4.02
4533 הודעות
   12:57   01.11.12   
אל הפורום  
  1. אתה יכול להשתמש בקומבינטוריקה?  
בתגובה להודעה מספר 0
 
  


                                                         (ניהול: מחק תגובה)
מכתב זה והנלווה אליו, על אחריות ועל דעת הכותב בלבד
kobi232
חבר מתאריך 25.4.02
11246 הודעות
   14:24   01.11.12   
אל הפורום  
  2. כן, לא חושב שיש איזה הגבלה כלשהי לגבי במה אפשר להשתמש  
בתגובה להודעה מספר 1
 
  


                                                         (ניהול: מחק תגובה)
מכתב זה והנלווה אליו, על אחריות ועל דעת הכותב בלבד
eminem
חבר מתאריך 14.11.03
4348 הודעות, 1 פידבק
   19:09   01.11.12   
אל הפורום  
  3. אם אני זוכר נכון...  
בתגובה להודעה מספר 0
 
   יש את ההוכחה בספר של נתי ליניאל / מתימטיקה בדידה אם אני זוכר נכון
אבל אני בטוח שאם תחפש בגוגל תמצא הוכחה


                                                         (ניהול: מחק תגובה)
מכתב זה והנלווה אליו, על אחריות ועל דעת הכותב בלבד
kobi232
חבר מתאריך 25.4.02
11246 הודעות
   10:40   02.11.12   
אל הפורום  
  4. תודה אבל..  
בתגובה להודעה מספר 3
 
   ראיתי גם את ההוכחה בספר של ליניאל\פרנס והיא לא עזרה לי,
ובגוגל לא מצאתי הוכחה פורמלית באינדוקציה.
מה שיש בויקיפדיה גם לא עזר.. :(


                                                         (ניהול: מחק תגובה)
מכתב זה והנלווה אליו, על אחריות ועל דעת הכותב בלבד
inno3D
חבר מתאריך 21.4.02
4533 הודעות
   12:50   02.11.12   
אל הפורום  
  5. תניח שיש איבר x שנמצא ב n קבוצות  
בתגובה להודעה מספר 0
 
   ואתה רוצה להוכיח שלמרות שספרת n פעמים, אתה ספרת את האיבר x בדיוק פעם אחת..
זה הכיוון

אפשר להפוך את זה לאינדוקציה


                                                         (ניהול: מחק תגובה)
מכתב זה והנלווה אליו, על אחריות ועל דעת הכותב בלבד

תגובה מהירה  למכתב מספר: 
 
___________________________________________________________________

___________________________________________________________________
למנהלים:  נעל | תייק בארכיון | מחק | העבר לפורום אחר | מחק תגובות | עגן אשכול
       



© כל הזכויות שמורות ל-רוטר.נט בע"מ rotter.net