ABA


"עזרה קטנה בזהויות טריגונומטריות בבקשה..."
גירסת הדפסה        
קבוצות דיון לימודים, מדע ותרבות נושא #11840 מנהל    סגן המנהל    מפקח   Winner    צל"ש   מומחה  
אשכול מספר 11840
onso לחץ כאן להצגת דירוג המשתמש
חבר מתאריך 16.4.03
32231 הודעות, 4 פידבק
   17:59   12.11.12   
אל הפורום  
  עזרה קטנה בזהויות טריגונומטריות בבקשה...  
 
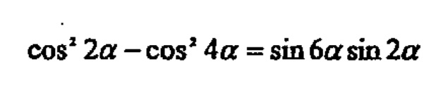
   מישהו יודע איך להוכיח את שני הזהויות הבאות:

http://rotter.name/User_files/nor/50a11ce3084f2ab6.jpg


                                שתף        
מכתב זה והנלווה אליו, על אחריות ועל דעת הכותב בלבד

  האשכול     מחבר     תאריך כתיבה     מספר  
  מכתב TheKid 12.11.12 19:00 1
     תודה לך onso 12.11.12 19:35 2

       
TheKid לחץ כאן להצגת דירוג המשתמש
חבר מתאריך 5.10.07
17978 הודעות, 1 פידבק
   19:00   12.11.12   
אל הפורום  
  1. מכתב  
בתגובה להודעה מספר 0
 
  

http://upload.wikimedia.org/math/e/f/3/ef310c8009906b7b0a7a5c09cb795816.png

(1) cos^2(2a) = 0.5+0.5cos(4a)
(2) cos^2(4a) = 0.5+0.5cos(8a)
(1)-(2) = 0.5cos(4a)-0.5cos(8a)

ומצד שני
http://upload.wikimedia.org/math/1/8/7/1871b8662a20638ac8d723265ed5be1f.png

(3) sin(6a)sin(2a) = 0.5cos(4a) - 0.5cos(8a)


                                                         (ניהול: מחק תגובה)
מכתב זה והנלווה אליו, על אחריות ועל דעת הכותב בלבד
onso לחץ כאן להצגת דירוג המשתמש
חבר מתאריך 16.4.03
32231 הודעות, 4 פידבק
   19:35   12.11.12   
אל הפורום  
  2. תודה לך  
בתגובה להודעה מספר 1
 
  


                                                         (ניהול: מחק תגובה)
מכתב זה והנלווה אליו, על אחריות ועל דעת הכותב בלבד

תגובה מהירה  למכתב מספר: 
 
___________________________________________________________________

___________________________________________________________________
למנהלים:  נעל | תייק בארכיון | מחק | העבר לפורום אחר | מחק תגובות | עגן אשכול
       



© כל הזכויות שמורות ל-רוטר.נט בע"מ rotter.net