ABA


"עוד 4 תרגילים בחדוא : גבולות נפלאים :"
גירסת הדפסה        
קבוצות דיון לימודים, מדע ותרבות נושא #11842 מנהל    סגן המנהל    מפקח   Winner    צל"ש   מומחה  
אשכול מספר 11842
THE BEST לחץ כאן להצגת דירוג המשתמש
חבר מתאריך 1.9.02
10502 הודעות, 1 פידבק
   20:07   13.11.12   
אל הפורום  
  עוד 4 תרגילים בחדוא : גבולות נפלאים :  
 
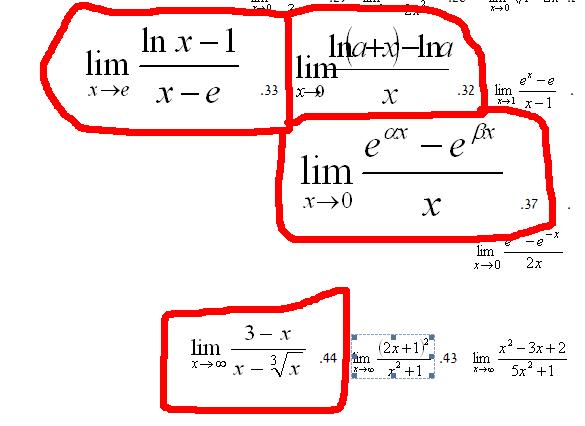
   כמה מהקשים שבדף :
http://rotter.name/User_files/nor/50a28c6a0d01a561.jpg

התרגילים שמוקפים באדום אם מישו יראה פתרון ודרך אשמח

http://up352.siz.co.il/up2/jz1zege5mezj.jpg


                                שתף        
מכתב זה והנלווה אליו, על אחריות ועל דעת הכותב בלבד

  האשכול     מחבר     תאריך כתיבה     מספר  
  עכשיו שאני מסתכל הכל אמור להיות לופיטל.. למדת את זה? inno3D 13.11.12 21:23 1
     תודה על ההבהרה עכשיו אני רואה שלופיטל זה קשור לנגזרת - עוד לא למדנו THE BEST 13.11.12 22:53 2
  לופיטל לכולם.. phzhev 14.11.12 09:54 3
     אם הוא לא למד אז בטח אסור להשתמש בזה inno3D 14.11.12 14:32 4
         מה אחרת יש לך לעשות פה? phzhev 14.11.12 16:28 5
             ב 33 אפשר לעשות סנדוויץ inno3D 14.11.12 16:52 6
         יש מצב שקצת התקדמתי בתרגילים..יכול להיות שהם מיועדים ללופיטול באמת THE BEST 15.11.12 09:01 7
  את 44... IDAN_500  18.11.12 15:06 8
     תודה רבה :) THE BEST 19.11.12 11:07 9

       
inno3D
חבר מתאריך 21.4.02
4533 הודעות
   21:23   13.11.12   
אל הפורום  
  1. עכשיו שאני מסתכל הכל אמור להיות לופיטל.. למדת את זה?  
בתגובה להודעה מספר 0
 
   ערכתי לאחרונה בתאריך 13.11.12 בשעה 21:34 בברכה, inno3D
 


                                                         (ניהול: מחק תגובה)
מכתב זה והנלווה אליו, על אחריות ועל דעת הכותב בלבד
THE BEST לחץ כאן להצגת דירוג המשתמש
חבר מתאריך 1.9.02
10502 הודעות, 1 פידבק
   22:53   13.11.12   
אל הפורום  
  2. תודה על ההבהרה עכשיו אני רואה שלופיטל זה קשור לנגזרת - עוד לא למדנו  
בתגובה להודעה מספר 1
 
   כנראה נלמד בהמשך.
רק למדנו את הגבולות הנפלאים והגענו עד פונקציה רציפה/אי רציפה.

http://up352.siz.co.il/up2/jz1zege5mezj.jpg


                                                         (ניהול: מחק תגובה)
מכתב זה והנלווה אליו, על אחריות ועל דעת הכותב בלבד
phzhev
חבר מתאריך 11.6.12
304 הודעות
   09:54   14.11.12   
אל הפורום  
  3. לופיטל לכולם..  
בתגובה להודעה מספר 0
 
   אתה פשוט עושה נגזרת למונה ונגזרת למכנה (כל אחד בנפרד, לא נגזרת של מנה),
ואז אתה מציב את הגבול שלך..

התשובות (בהתאם לסדר משמאל לימין ומלמעלה למטה):

1/e אחד חלקי אקספוננט
1/a
alpha-beta
1-


                                                         (ניהול: מחק תגובה)
מכתב זה והנלווה אליו, על אחריות ועל דעת הכותב בלבד
inno3D
חבר מתאריך 21.4.02
4533 הודעות
   14:32   14.11.12   
אל הפורום  
  4. אם הוא לא למד אז בטח אסור להשתמש בזה  
בתגובה להודעה מספר 3
 
  


                                                         (ניהול: מחק תגובה)
מכתב זה והנלווה אליו, על אחריות ועל דעת הכותב בלבד
phzhev
חבר מתאריך 11.6.12
304 הודעות
   16:28   14.11.12   
אל הפורום  
  5. מה אחרת יש לך לעשות פה?  
בתגובה להודעה מספר 4
 
  


                                                         (ניהול: מחק תגובה)
מכתב זה והנלווה אליו, על אחריות ועל דעת הכותב בלבד
inno3D
חבר מתאריך 21.4.02
4533 הודעות
   16:52   14.11.12   
אל הפורום  
  6. ב 33 אפשר לעשות סנדוויץ  
בתגובה להודעה מספר 5
 
   ערכתי לאחרונה בתאריך 14.11.12 בשעה 16:59 בברכה, inno3D
 


(ln x - 1)/(x-e) <= ln x / x

וכשאיקס שואף ל,אי זה כל הביטוי שואף לאחד חלקי אי

מצד שני
בגלל שאיקס שואף לאי,
איקס חיובי.. ולן אי זה 1, ובגלל זה



(ln x - 1)/(x-e) >= 1/e


הורדתי פונקציה חיובית ממש


                                                         (ניהול: מחק תגובה)
מכתב זה והנלווה אליו, על אחריות ועל דעת הכותב בלבד
THE BEST לחץ כאן להצגת דירוג המשתמש
חבר מתאריך 1.9.02
10502 הודעות, 1 פידבק
   09:01   15.11.12   
אל הפורום  
  7. יש מצב שקצת התקדמתי בתרגילים..יכול להיות שהם מיועדים ללופיטול באמת  
בתגובה להודעה מספר 4
 
   אנחנו אמורים ללמוד אותו

http://up352.siz.co.il/up2/jz1zege5mezj.jpg


                                                         (ניהול: מחק תגובה)
מכתב זה והנלווה אליו, על אחריות ועל דעת הכותב בלבד
IDAN_500 
חבר מתאריך 11.12.03
2321 הודעות
   15:06   18.11.12   
אל הפורום  
  8. את 44...  
בתגובה להודעה מספר 0
 
   מאחר ויוצא לך אינסוף חלקי אינסוף אז תחלק בחזקה הגבוה ביותר במכנה שהיא 1, כלומר אתה יכול לחלק כל רכיב ורכיב (גם במונה וגם במכנה) ב X, והגבול יצא לך 1-


                                                         (ניהול: מחק תגובה)
מכתב זה והנלווה אליו, על אחריות ועל דעת הכותב בלבד
THE BEST לחץ כאן להצגת דירוג המשתמש
חבר מתאריך 1.9.02
10502 הודעות, 1 פידבק
   11:07   19.11.12   
אל הפורום  
  9. תודה רבה :)  
בתגובה להודעה מספר 8
 
   ערכתי לאחרונה בתאריך 19.11.12 בשעה 11:13 בברכה, THE BEST
 

http://up352.siz.co.il/up2/jz1zege5mezj.jpg


                                                         (ניהול: מחק תגובה)
מכתב זה והנלווה אליו, על אחריות ועל דעת הכותב בלבד

תגובה מהירה  למכתב מספר: 
 
___________________________________________________________________

___________________________________________________________________
למנהלים:  נעל | תייק בארכיון | מחק | העבר לפורום אחר | מחק תגובות | עגן אשכול
       



© כל הזכויות שמורות ל-רוטר.נט בע"מ rotter.net