ABA


"צריך עזרה פשוטה בLOG.. יש תמונה"
גירסת הדפסה        
קבוצות דיון לימודים, מדע ותרבות נושא #11868 מנהל    סגן המנהל    מפקח   Winner    צל"ש   מומחה  
אשכול מספר 11868
123maor1
חבר מתאריך 24.5.05
876 הודעות
   14:18   24.11.12   
אל הפורום  
  צריך עזרה פשוטה בLOG.. יש תמונה  
 
   ערכתי לאחרונה בתאריך 24.11.12 בשעה 14:22 בברכה, 123maor1
 
יחסית פשוט מאוד.. אני רק צריך את הדרך

http://rotter.name/User_files/nor/50b0bbff7e7e9f75.jpg

מדובר על LOG2, אם הכתב לא ברור.

אשמח לפתרון


                                שתף        
מכתב זה והנלווה אליו, על אחריות ועל דעת הכותב בלבד

  האשכול     מחבר     תאריך כתיבה     מספר  
  מכתב Benayoun15 24.11.12 14:38 1
  המון תודות !! עזרת!! 123maor1 24.11.12 16:11 2

       
Benayoun15
חבר מתאריך 7.6.02
1026 הודעות
   14:38   24.11.12   
אל הפורום  
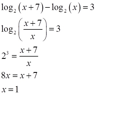
  1. מכתב  
בתגובה להודעה מספר 0
 
   שים לב שיש תחום הגדרה
X>0
x+7>0
x>-7
סה"כ תחום הגדרה
X>0

פתרון:

http://rotter.name/User_files/nor/50b0bfce33c8b838.jpg


                                                         (ניהול: מחק תגובה)
מכתב זה והנלווה אליו, על אחריות ועל דעת הכותב בלבד
123maor1
חבר מתאריך 24.5.05
876 הודעות
   16:11   24.11.12   
אל הפורום  
  2. המון תודות !! עזרת!!  
בתגובה להודעה מספר 0
 
  


                                                         (ניהול: מחק תגובה)
מכתב זה והנלווה אליו, על אחריות ועל דעת הכותב בלבד

תגובה מהירה  למכתב מספר: 
 
___________________________________________________________________

___________________________________________________________________
למנהלים:  נעל | תייק בארכיון | מחק | העבר לפורום אחר | מחק תגובות | עגן אשכול
       



© כל הזכויות שמורות ל-רוטר.נט בע"מ rotter.net