ABA


"צריך עזרה בנגזרות (ln במנה ו ln עם שורש) בבקשה"
גירסת הדפסה        
קבוצות דיון לימודים, מדע ותרבות נושא #11901 מנהל    סגן המנהל    מפקח   Winner    צל"ש   מומחה  
אשכול מספר 11901
123maor1
חבר מתאריך 24.5.05
876 הודעות
   16:44   06.12.12   
אל הפורום  
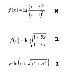
  צריך עזרה בנגזרות (ln במנה ו ln עם שורש) בבקשה  
 
   התמונה:

http://rotter.name/User_files/nor/50c0af1a53d8ca18.jpg

השניים הראשונים זה לאן במנה, האחרון זה לאן בשורש, אני צריך רק להגיע לפירוק הכי פשוט של נגזרת. בלי הפתרון.

נסתי כל מיני שיטות, ויותר מידי מאבד כיוון. תודה לעוזרים !!


                                שתף        
מכתב זה והנלווה אליו, על אחריות ועל דעת הכותב בלבד

  האשכול     מחבר     תאריך כתיבה     מספר  
  מכתב Dj EreZ 06.12.12 22:06 1

       
Dj EreZ
חבר מתאריך 17.3.10
409 הודעות
   22:06   06.12.12   
אל הפורום  
  1. מכתב  
בתגובה להודעה מספר 0
 
   ערכתי לאחרונה בתאריך 06.12.12 בשעה 22:41 בברכה, Dj EreZ
 
פתרתי לך כבר על הדרך. תרענן לעצמך את החוקים הבסיסיים של לוגים (לאנים), ויהיה לך הרבה יותר קל לפתור תרגילים מסוג זה.

http://www20.zippyshare.com/v/44540696/file.html

את ג' אתה גוזר לפי חוק השרשרת: http://www.damada.co.il/topics/math/db/diff_chain_rule/diff_chain_rule.shtml


                                                         (ניהול: מחק תגובה)
מכתב זה והנלווה אליו, על אחריות ועל דעת הכותב בלבד

תגובה מהירה  למכתב מספר: 
 
___________________________________________________________________

___________________________________________________________________
למנהלים:  נעל | תייק בארכיון | מחק | העבר לפורום אחר | מחק תגובות | עגן אשכול
       



© כל הזכויות שמורות ל-רוטר.נט בע"מ rotter.net