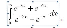
אשמח לקבל דרכים שונות לפתרון למצב כזה .
http://up352.siz.co.il/up2/jz1zege5mezj.jpg
http://rotter.name/User_files/nor/50dd669f3981204c.jpg
ותקבל אינטגרל שלIntegral(0,1) { t^4+t/(t+1) dt }
Integral(0,1) { t^4+t/(t+1) dt }
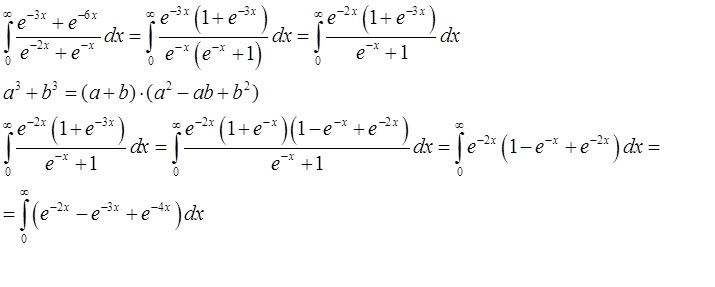
ודי פשוט לפתור מפה ...
לכן הגבולות הפוכים ולא כפי שרשמת