ABA


"עזרה במספר תרגילי חדו''א בבקשה"
גירסת הדפסה        
קבוצות דיון לימודים, מדע ותרבות נושא #12036 מנהל    סגן המנהל    מפקח   Winner    צל"ש   מומחה  
אשכול מספר 12036
123maor1
חבר מתאריך 24.5.05
876 הודעות, דרג אמינות חבר זה
   11:00   21.01.13   
אל הפורום  
  עזרה במספר תרגילי חדו''א בבקשה  
 
   http://rotter.name/User_files/nor/50fd037c22204ca2.jpg


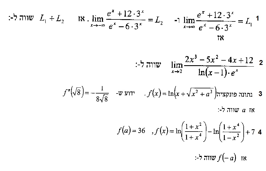
יש מצב לעזרה עם הפתרון בבקשה? די נתקעתי בתרגילים האלה.


                                שתף        
מכתב זה והנלווה אליו, על אחריות ועל דעת הכותב בלבד

  האשכול     מחבר     תאריך כתיבה     מספר  
  לגבי שאלה 1.. 123maor1 21.01.13 11:26 1
     http://www.wolframalpha.com Yariv-H 21.01.13 12:36 2
  שאלה 2 - הגבול 0 .. לפי לופיטל benben  21.01.13 20:26 3
  שאלה 4 Benayoun15 21.01.13 20:59 4
     לא הבנתי את הפתרון... במכנה של הלן השני זה יוצא מינוס נכון? benben  21.01.13 21:38 5
         אם בכל מקום שכתוב איקס תציב מינוס איקס Benayoun15 22.01.13 00:38 6
             זה כמובן רק לאחר שבדקת שתחום ההגדרה הוא סימטרי (ופה זה בסדר כי זה סימטרי) IDAN_500  22.01.13 15:25 7

       
123maor1
חבר מתאריך 24.5.05
876 הודעות, דרג אמינות חבר זה
   11:26   21.01.13   
אל הפורום  
  1. לגבי שאלה 1..  
בתגובה להודעה מספר 0
 
   לגבי שאלה 1. אני יודע שבאין סוף מחלקים מונה / מכנה בחזקה הגבוה ביותר ובמינוס אין סוף מחלקים במונה / מכנה הנמוך ביותר. אבל התשובה ש
L1+L2 צריכה לצאת זה מינוס 1. ולא יוצא לי ככה.

יש מצב לדרך בבקשה?


                                                         (ניהול: מחק תגובה)
מכתב זה והנלווה אליו, על אחריות ועל דעת הכותב בלבד
Yariv-H לחץ כאן להצגת דירוג המשתמש
חבר מתאריך 24.3.02
5856 הודעות, 1 פידבק, 2 נקודות
   12:36   21.01.13   
אל הפורום  
  2. http://www.wolframalpha.com  
בתגובה להודעה מספר 1
 
   תשתמש באתר זה זה כלי חזק , ויש שם גם step by step.



                                                         (ניהול: מחק תגובה)
מכתב זה והנלווה אליו, על אחריות ועל דעת הכותב בלבד
benben 
חבר מתאריך 24.3.12
435 הודעות, דרג אמינות חבר זה
   20:26   21.01.13   
אל הפורום  
  3. שאלה 2 - הגבול 0 .. לפי לופיטל  
בתגובה להודעה מספר 0
 
   ערכתי לאחרונה בתאריך 21.01.13 בשעה 20:57 בברכה, benben
 
ושאלה 1- הגבול ב+אינסוף זה -2 (פשוט תחלק ב3 בחזקת x)
ב - -אינסוף זה יוצא 1 (תחלק בeבחזקת x)


                                                         (ניהול: מחק תגובה)
מכתב זה והנלווה אליו, על אחריות ועל דעת הכותב בלבד
Benayoun15
חבר מתאריך 7.6.02
1026 הודעות, דרג אמינות חבר זה
   20:59   21.01.13   
אל הפורום  
  4. שאלה 4  
בתגובה להודעה מספר 0
 
   כל ה X בחזקה מספר שלם חיובי וזוגי
לכן
f(x) = f(-x)
לכן התשובה 36


                                                         (ניהול: מחק תגובה)
מכתב זה והנלווה אליו, על אחריות ועל דעת הכותב בלבד
benben 
חבר מתאריך 24.3.12
435 הודעות, דרג אמינות חבר זה
   21:38   21.01.13   
אל הפורום  
  5. לא הבנתי את הפתרון... במכנה של הלן השני זה יוצא מינוס נכון?  
בתגובה להודעה מספר 4
 
   ובמינוס זה לא מוגדר. איך מגיעים לתשובה?


                                                         (ניהול: מחק תגובה)
מכתב זה והנלווה אליו, על אחריות ועל דעת הכותב בלבד
Benayoun15
חבר מתאריך 7.6.02
1026 הודעות, דרג אמינות חבר זה
   00:38   22.01.13   
אל הפורום  
  6. אם בכל מקום שכתוב איקס תציב מינוס איקס  
בתגובה להודעה מספר 5
 
   בגלל שכל אחד מהם הוא בריבוע או בחזקה רביעית
המינוס הופך לחיובי וזה כמו להציב איקס
כלומר אם תציג מספר כלשהו A ואת ההופכי שלו מינוס A תקבל את אותה התשובה


                                                         (ניהול: מחק תגובה)
מכתב זה והנלווה אליו, על אחריות ועל דעת הכותב בלבד
IDAN_500 
חבר מתאריך 11.12.03
2321 הודעות, דרג אמינות חבר זה
   15:25   22.01.13   
אל הפורום  
  7. זה כמובן רק לאחר שבדקת שתחום ההגדרה הוא סימטרי (ופה זה בסדר כי זה סימטרי)  
בתגובה להודעה מספר 6
 
  


                                                         (ניהול: מחק תגובה)
מכתב זה והנלווה אליו, על אחריות ועל דעת הכותב בלבד

תגובה מהירה  למכתב מספר: 
 
___________________________________________________________________

___________________________________________________________________
למנהלים:  נעל | תייק בארכיון | מחק | העבר לפורום אחר | מחק תגובות | עגן אשכול
       



© כל הזכויות שמורות ל-רוטר.נט בע"מ rotter.net