ABA


"עזרה בגבול יחסית פשוט שמשום מה לא מצליח לי :\"
גירסת הדפסה        
קבוצות דיון לימודים, מדע ותרבות נושא #12117 מנהל    סגן המנהל    מפקח   Winner    צל"ש   מומחה  
אשכול מספר 12117
LaVy
חבר מתאריך 17.3.20
390 הודעות, דרג אמינות חבר זה
   16:01   18.02.13   
אל הפורום  
  עזרה בגבול יחסית פשוט שמשום מה לא מצליח לי :\  
 
   ערכתי לאחרונה בתאריך 18.02.13 בשעה 16:12 בברכה, LaVy
 
הגבול הוא כאשר X שואף לאינסוף

x+1)ln(x+2)-2(x+1)ln(x+1)+xlnx)

מקווה שהפונקציה מספיק ברורה.. לפי התשובות הדבר הזה שואף למינוס אינסוף ולי תמיד יוצא שזה שואף ל0..

אשמח מאוד לעזרה ותודה רבה מראש!


                                שתף        
מכתב זה והנלווה אליו, על אחריות ועל דעת הכותב בלבד

  האשכול     מחבר     תאריך כתיבה     מספר  
  אין לי יותר מידי זמן לחשוב על זה אבל הייתי מנסה טיילור.. אם למדת eliran005  18.02.13 16:14 1
     איך תדע עד איפה לפתח? אין לך מכנה.. LaVy 18.02.13 16:23 2
         טריק אחר eliran005  18.02.13 16:38 3
             כל הדרכים מובילות ל0. ולמרצה יצא מינוס אינסוף :\ LaVy 18.02.13 17:11 4
                 מכתב Dj EreZ 18.02.13 17:21 5
                 זאת באמת התשובה. Yariv-H 18.02.13 18:54 7
  http://www.wolframalpha.com/ Yariv-H 18.02.13 18:53 6
     מכתב Dj EreZ 18.02.13 19:20 8
         עשית step by step? Yariv-H 18.02.13 19:22 9
             מכתב Dj EreZ 18.02.13 21:04 12
  לא הבנתי מה לא עובד בוולפראם ? cfirzzz 18.02.13 19:27 10
  מכתב Deuce  18.02.13 20:48 11
  במחשבון יוצא שזה שואף ל0 לפי הצבת מס' ממש גדולים 10exp90.הWOLF מראה אחרת :\ LaVy 18.02.13 22:06 13
     הגרף נראה ככה, כובען  19.02.13 17:45 15
  מכתב Benayoun15 18.02.13 22:10 14
     תודה רבה. עוד מתלבט אם זו התשובה, המחשבון אומר שזה שואף ל0 LaVy 19.02.13 18:12 16
         אם אתה מבין מה המשמעות של גבול היית מבין מהגרף את התשובה... כובען  19.02.13 18:31 17
         זאת התשובה. Deuce  21.02.13 20:35 18

       
eliran005  לחץ כאן להצגת דירוג המשתמש
חבר מתאריך 6.6.05
32634 הודעות, 6 פידבק, 2 נקודות
   16:14   18.02.13   
אל הפורום  
  1. אין לי יותר מידי זמן לחשוב על זה אבל הייתי מנסה טיילור.. אם למדת  
בתגובה להודעה מספר 0
 
  


                                                         (ניהול: מחק תגובה)
מכתב זה והנלווה אליו, על אחריות ועל דעת הכותב בלבד
LaVy
חבר מתאריך 17.3.20
390 הודעות, דרג אמינות חבר זה
   16:23   18.02.13   
אל הפורום  
  2. איך תדע עד איפה לפתח? אין לך מכנה..  
בתגובה להודעה מספר 1
 
  


                                                         (ניהול: מחק תגובה)
מכתב זה והנלווה אליו, על אחריות ועל דעת הכותב בלבד
eliran005  לחץ כאן להצגת דירוג המשתמש
חבר מתאריך 6.6.05
32634 הודעות, 6 פידבק, 2 נקודות
   16:38   18.02.13   
אל הפורום  
  3. טריק אחר  
בתגובה להודעה מספר 2
 
   תנסה להפוך את המכפלה של כל אחד לשבר על ידי
ln(x+2)
/
1 חלקי x+2
ותראה אם אפשר מכנה משותף וכאלה

מצטער אני פשוט עסוק במבחן אחר


                                                         (ניהול: מחק תגובה)
מכתב זה והנלווה אליו, על אחריות ועל דעת הכותב בלבד
LaVy
חבר מתאריך 17.3.20
390 הודעות, דרג אמינות חבר זה
   17:11   18.02.13   
אל הפורום  
  4. כל הדרכים מובילות ל0. ולמרצה יצא מינוס אינסוף :\  
בתגובה להודעה מספר 3
 
  


                                                         (ניהול: מחק תגובה)
מכתב זה והנלווה אליו, על אחריות ועל דעת הכותב בלבד
Dj EreZ
חבר מתאריך 17.3.10
409 הודעות
   17:21   18.02.13   
אל הפורום  
  5. מכתב  
בתגובה להודעה מספר 4
 
   אני מגיע למצב של אינסוף מינוס אינסוף, הבעיה שאין לזה שום משמעות.
השתמשתי בחוקי לוגים וזה מקרב לזה...


                                                         (ניהול: מחק תגובה)
מכתב זה והנלווה אליו, על אחריות ועל דעת הכותב בלבד
Yariv-H לחץ כאן להצגת דירוג המשתמש
חבר מתאריך 24.3.02
5879 הודעות, 1 פידבק, 2 נקודות
   18:54   18.02.13   
אל הפורום  
  7. זאת באמת התשובה.  
בתגובה להודעה מספר 4
 
  


                                                         (ניהול: מחק תגובה)
מכתב זה והנלווה אליו, על אחריות ועל דעת הכותב בלבד
Yariv-H לחץ כאן להצגת דירוג המשתמש
חבר מתאריך 24.3.02
5879 הודעות, 1 פידבק, 2 נקודות
   18:53   18.02.13   
אל הפורום  
  6. http://www.wolframalpha.com/  
בתגובה להודעה מספר 0
 
   אני לא מבין איך אנשים לא משתמשים בכלי הזה...


תרשום את זה שם


(x+1)ln(x+2)-2(x+1)ln(x+1)+xlnx , x->inf


                                                         (ניהול: מחק תגובה)
מכתב זה והנלווה אליו, על אחריות ועל דעת הכותב בלבד
Dj EreZ
חבר מתאריך 17.3.10
409 הודעות
   19:20   18.02.13   
אל הפורום  
  8. מכתב  
בתגובה להודעה מספר 6
 
   בדקתי שם לפני שהגבתי פה. הוא לא נותן את הדרך לשאלה הזאת.


                                                         (ניהול: מחק תגובה)
מכתב זה והנלווה אליו, על אחריות ועל דעת הכותב בלבד
Yariv-H לחץ כאן להצגת דירוג המשתמש
חבר מתאריך 24.3.02
5879 הודעות, 1 פידבק, 2 נקודות
   19:22   18.02.13   
אל הפורום  
  9. עשית step by step?  
בתגובה להודעה מספר 8
 
  


                                                         (ניהול: מחק תגובה)
מכתב זה והנלווה אליו, על אחריות ועל דעת הכותב בלבד
Dj EreZ
חבר מתאריך 17.3.10
409 הודעות
   21:04   18.02.13   
אל הפורום  
  12. מכתב  
בתגובה להודעה מספר 9
 
   כן, הוא לא מראה חישוב מלא לתרגיל הספציפי הזה.


                                                         (ניהול: מחק תגובה)
מכתב זה והנלווה אליו, על אחריות ועל דעת הכותב בלבד
cfirzzz לחץ כאן להצגת דירוג המשתמש
חבר מתאריך 1.8.02
5158 הודעות, 2 פידבק, 4 נקודות
   19:27   18.02.13   
אל הפורום  
  10. לא הבנתי מה לא עובד בוולפראם ?  
בתגובה להודעה מספר 0
 
   בכל מקרה
מינוס אינסוף

lim_(x->infinity) ((x+1) log(x+2)-2 (x+1) log(x+1)+x log(x)) = -infinity


                                                         (ניהול: מחק תגובה)
מכתב זה והנלווה אליו, על אחריות ועל דעת הכותב בלבד
Deuce 
חבר מתאריך 1.9.08
6225 הודעות, דרג אמינות חבר זה
   20:48   18.02.13   
אל הפורום  
  11. מכתב  
בתגובה להודעה מספר 0
 
   תשתמש בחוקי לוגים כדי לאחד את כל הלוגים ותקבל:

x * ln [x*(x+2)/(x+1)^2] + ln [(x+2)/(x+1)^2]

הביטוי בצד ימין הולך למינוס אינסוף והביטוי בצד שמאל הולך לקבוע (תשתמש בלופיטל או בהשוואה לגבולות שאתה מכיר).


                                                         (ניהול: מחק תגובה)
מכתב זה והנלווה אליו, על אחריות ועל דעת הכותב בלבד
LaVy
חבר מתאריך 17.3.20
390 הודעות, דרג אמינות חבר זה
   22:06   18.02.13   
אל הפורום  
  13. במחשבון יוצא שזה שואף ל0 לפי הצבת מס' ממש גדולים 10exp90.הWOLF מראה אחרת :\  
בתגובה להודעה מספר 0
 
  


                                                         (ניהול: מחק תגובה)
מכתב זה והנלווה אליו, על אחריות ועל דעת הכותב בלבד
כובען  לחץ כאן להצגת דירוג המשתמש
חבר מתאריך 2.3.10
25341 הודעות, 21 פידבק, 10 נקודות
   17:45   19.02.13   
אל הפורום  
  15. הגרף נראה ככה,  
בתגובה להודעה מספר 13
 
   http://i.imgur.com/ekH4IsS.png


                                                         (ניהול: מחק תגובה)
מכתב זה והנלווה אליו, על אחריות ועל דעת הכותב בלבד
Benayoun15
חבר מתאריך 7.6.02
1026 הודעות, דרג אמינות חבר זה
   22:10   18.02.13   
אל הפורום  
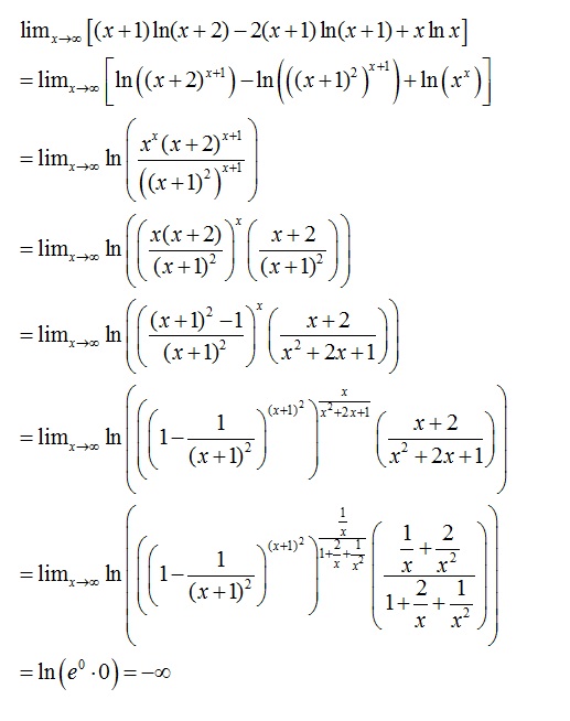
  14. מכתב  
בתגובה להודעה מספר 0
 
   http://rotter.name/User_files/nor/51228a8f66e39308.jpg


                                                         (ניהול: מחק תגובה)
מכתב זה והנלווה אליו, על אחריות ועל דעת הכותב בלבד
LaVy
חבר מתאריך 17.3.20
390 הודעות, דרג אמינות חבר זה
   18:12   19.02.13   
אל הפורום  
  16. תודה רבה. עוד מתלבט אם זו התשובה, המחשבון אומר שזה שואף ל0  
בתגובה להודעה מספר 14
 
  


                                                         (ניהול: מחק תגובה)
מכתב זה והנלווה אליו, על אחריות ועל דעת הכותב בלבד
כובען  לחץ כאן להצגת דירוג המשתמש
חבר מתאריך 2.3.10
25341 הודעות, 21 פידבק, 10 נקודות
   18:31   19.02.13   
אל הפורום  
  17. אם אתה מבין מה המשמעות של גבול היית מבין מהגרף את התשובה...  
בתגובה להודעה מספר 16
 
   http://i.imgur.com/ekH4IsS.png


                                                         (ניהול: מחק תגובה)
מכתב זה והנלווה אליו, על אחריות ועל דעת הכותב בלבד
Deuce 
חבר מתאריך 1.9.08
6225 הודעות, דרג אמינות חבר זה
   20:35   21.02.13   
אל הפורום  
  18. זאת התשובה.  
בתגובה להודעה מספר 16
 
  


                                                         (ניהול: מחק תגובה)
מכתב זה והנלווה אליו, על אחריות ועל דעת הכותב בלבד

תגובה מהירה  למכתב מספר: 
 
___________________________________________________________________

___________________________________________________________________
למנהלים:  נעל | תייק בארכיון | מחק | העבר לפורום אחר | מחק תגובות | עגן אשכול
       
דרג לפי חשיבות הנושא  דרג לפי חשיבות הנושא   



© כל הזכויות שמורות ל-רוטר.נט בע"מ rotter.net