רמה תיכונית
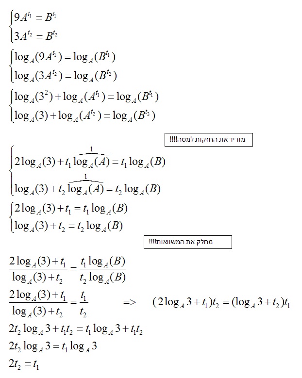
בשעה 7:00 בבוקר היו בתרבית א' 90,000 חיידקים ובתרבית ב' היו 10,000 חיידקים.
נסמן ב t1 את הזמן שחלף משעה 07:00 בבוקר עד שבתרבית א' ובתרבית ב' היה מספר שווה של חיידקים.
נסמן ב-t2 את הזמן שחלף מהשעה 07:00 בבוקר עד שבתרבית א' היו פי 3 חיידקים מאשר בתרבית ב'.
הוכח: t1=2t2 הנח גידול מעריכי של החיידקים בשתי התרביות. (הערה: לא חסרים נתונים בתרגיל).הגעתי בסוף ל2 משוואות כאלה, ולא יודע איך להמשיך
http://rotter.name/User_files/nor/5127438625f32704.jpg
תודה מראש, אלון
