ABA


"''משפט'' במתמטיקה שאני והמורה שלי עלינו עליו :)"
גירסת הדפסה        
קבוצות דיון לימודים, מדע ותרבות נושא #13371 מנהל    סגן המנהל    מפקח   Winner    צל"ש   מומחה  
אשכול מספר 13371
ziv2002

   12:53   10.06.08   
אל הפורום  
  ''משפט'' במתמטיקה שאני והמורה שלי עלינו עליו :)  
 
   ערכתי לאחרונה בתאריך 10.06.08 בשעה 12:53 בברכה, ziv2002
 
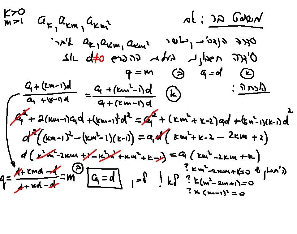
בשיעורי האחרון עם המורה שלי למתמטיקה ב-eTeacher, עסקנו בסדרות כהכנה לבגרות 005, ונתקלנו בתרגיל אשר הוביל אותנו למסקנה הזו:

http://i172.photobucket.com/albums/w12/armageda/159b2b55.jpg

מקווה שהחכמתם


                                שתף        
מכתב זה והנלווה אליו, על אחריות ועל דעת הכותב בלבד

  האשכול     מחבר     תאריך כתיבה     מספר  
  חחח זה רחוק אפילו מלהיות למה. IcqBoy 10.06.08 15:58 1
     זה מובן לי ziv2002 10.06.08 21:47 2
         תמיד נחמד אבל יש משמעות מיוחדת שאתה רואה כאן? IcqBoy 10.06.08 21:58 3
             אין פה ממש הטעיה של האינטואיציה... ziv2002 10.06.08 22:28 4

       
IcqBoy

   15:58   10.06.08   
אל הפורום  
  1. חחח זה רחוק אפילו מלהיות למה.  
בתגובה להודעה מספר 0
 
   זה ברמה של לתת שאלה ב-005.
בהצלחה


                                                         (ניהול: מחק תגובה)
מכתב זה והנלווה אליו, על אחריות ועל דעת הכותב בלבד
ziv2002

   21:47   10.06.08   
אל הפורום  
  2. זה מובן לי  
בתגובה להודעה מספר 1
 
   לא ציפיתי שזה ייכנס לתכנית הלימודים של שנה הבאה
סתם מסקנה נחמדה שהגענו אליה, חשבתי שיהיה נחמד לשתף


                                                         (ניהול: מחק תגובה)
מכתב זה והנלווה אליו, על אחריות ועל דעת הכותב בלבד
IcqBoy

   21:58   10.06.08   
אל הפורום  
  3. תמיד נחמד אבל יש משמעות מיוחדת שאתה רואה כאן?  
בתגובה להודעה מספר 2
 
   ערכתי לאחרונה בתאריך 10.06.08 בשעה 21:58 בברכה, IcqBoy
 
משהו שעוזר לתחום אחר, משהו שמטעה אולי את האינטואיציה?
הרחב קצת


                                                         (ניהול: מחק תגובה)
מכתב זה והנלווה אליו, על אחריות ועל דעת הכותב בלבד
ziv2002

   22:28   10.06.08   
אל הפורום  
  4. אין פה ממש הטעיה של האינטואיציה...  
בתגובה להודעה מספר 3
 
   ערכתי לאחרונה בתאריך 10.06.08 בשעה 22:28 בברכה, ziv2002
 
המסקנה נבעה מאינטואיציה אישית שלי... השאלה היתה כזו:

המספרים a2 a6 a18 של סדרה חשבונית יוצרים בהתאם סדרה הנדסית כאשר d שונה מ-0.

הוכח כי a1=d, ומצא מהו q


                                                         (ניהול: מחק תגובה)
מכתב זה והנלווה אליו, על אחריות ועל דעת הכותב בלבד

תגובה מהירה  למכתב מספר: 
 
___________________________________________________________________

___________________________________________________________________
למנהלים:  נעל | תייק בארכיון | מחק | העבר לפורום אחר | מחק תגובות | עגן אשכול
       



© כל הזכויות שמורות ל-רוטר.נט בע"מ rotter.net