ABA


"שאלה בהסתברות - 005"
גירסת הדפסה        
קבוצות דיון לימודים, מדע ותרבות נושא #14964 מנהל    סגן המנהל    מפקח   Winner    צל"ש   מומחה  
אשכול מספר 14964
Hybrid
חבר מתאריך 13.1.14
20 הודעות
   16:03   13.04.09   
אל הפורום  
  שאלה בהסתברות - 005  
 
   התפלגות בינומית..

ההסתברות שלמשפחה יש מכונית היא P. בוחרים באקראי 5 משפחות. ידוע שההסתברות שבדיוק ל-4 מהן יש מכונית גדולה פי 8 מההסתברות שבדיוק ל-2 מהן יש מכונית.

חשב את P.

תודה


                                שתף        
מכתב זה והנלווה אליו, על אחריות ועל דעת הכותב בלבד

  האשכול     מחבר     תאריך כתיבה     מספר  
  פתרון Eylon 13.04.09 18:24 1
     התשובה אמורה להיות 0.8 \: Hybrid 13.04.09 18:35 2
         העלתי את הפתרון המתוקן:) Eylon 13.04.09 18:40 3
             תודה רבה לך :) Hybrid 13.04.09 18:49 4
                 בבקשה:) Eylon 13.04.09 18:50 5
         0.8 זה4 חמישיות :\ Forrest Gump 15.04.09 12:05 6
  סורי על ההקפצה אבל גם לי יש בעיה עם התרגיל הזה (הגעתי דרך גוגל), יש מצב לפיתרון? ben222  14.08.13 11:15 7
     מכתב Yariv-H 14.08.13 12:01 8
         לא חסרים פרטים אחי... זאת השאלה המלאה ben222  14.08.13 12:11 9
             אז זו לא הסתברות בינומית . Yariv-H 14.08.13 12:49 10
                 אמרו לך שהקבוצה הנתונה היא 5 ben222  14.08.13 13:02 12
                     אההה Yariv-H 14.08.13 15:15 13
  קבלו ביטול :D הצלחתי ben222  14.08.13 13:01 11

       
Eylon
חבר מתאריך 18.3.02
18139 הודעות
   18:24   13.04.09   
אל הפורום  
  1. פתרון  
בתגובה להודעה מספר 0
 
   ערכתי לאחרונה בתאריך 13.04.09 בשעה 18:39 בברכה, Eylon
 
http://rotter.name/User_files/nor/49e35cb959f7a21c.gif


                                                         (ניהול: מחק תגובה)
מכתב זה והנלווה אליו, על אחריות ועל דעת הכותב בלבד
Hybrid
חבר מתאריך 13.1.14
20 הודעות
   18:35   13.04.09   
אל הפורום  
  2. התשובה אמורה להיות 0.8 \:  
בתגובה להודעה מספר 1
 
  


                                                         (ניהול: מחק תגובה)
מכתב זה והנלווה אליו, על אחריות ועל דעת הכותב בלבד
Eylon
חבר מתאריך 18.3.02
18139 הודעות
   18:40   13.04.09   
אל הפורום  
  3. העלתי את הפתרון המתוקן:)  
בתגובה להודעה מספר 2
 
  


                                                         (ניהול: מחק תגובה)
מכתב זה והנלווה אליו, על אחריות ועל דעת הכותב בלבד
Hybrid
חבר מתאריך 13.1.14
20 הודעות
   18:49   13.04.09   
אל הפורום  
  4. תודה רבה לך :)  
בתגובה להודעה מספר 3
 
  


                                                         (ניהול: מחק תגובה)
מכתב זה והנלווה אליו, על אחריות ועל דעת הכותב בלבד
Eylon
חבר מתאריך 18.3.02
18139 הודעות
   18:50   13.04.09   
אל הפורום  
  5. בבקשה:)  
בתגובה להודעה מספר 4
 
  


                                                         (ניהול: מחק תגובה)
מכתב זה והנלווה אליו, על אחריות ועל דעת הכותב בלבד
Forrest Gump

   12:05   15.04.09   
אל הפורום  
  6. 0.8 זה4 חמישיות :\  
בתגובה להודעה מספר 2
 
  


                                                         (ניהול: מחק תגובה)
מכתב זה והנלווה אליו, על אחריות ועל דעת הכותב בלבד
ben222  לחץ כאן להצגת דירוג המשתמש
חבר מתאריך 14.9.08
13288 הודעות, 2 פידבק
   11:15   14.08.13   
אל הפורום  
  7. סורי על ההקפצה אבל גם לי יש בעיה עם התרגיל הזה (הגעתי דרך גוגל), יש מצב לפיתרון?  
בתגובה להודעה מספר 0
 
   זה המשוואה שעשיתי
*8=-10p^5+30p^4-30p^3+10p^2


                                                         (ניהול: מחק תגובה)
מכתב זה והנלווה אליו, על אחריות ועל דעת הכותב בלבד
Yariv-H לחץ כאן להצגת דירוג המשתמש
חבר מתאריך 24.3.02
5879 הודעות, 1 פידבק
   12:01   14.08.13   
אל הפורום  
  8. מכתב  
בתגובה להודעה מספר 7
 
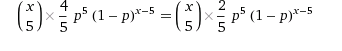
   http://rotter.name/User_files/nor/520b47905f2bad02.jpg

זה הפתרון של התפלגות בינומית .


אבל מתוך כמה משפחות אתה בוחר את ה 5?

לצורך העניין הנחתי שזה X..

אתה בטוח שלא חסרים פרטים?


                                                         (ניהול: מחק תגובה)
מכתב זה והנלווה אליו, על אחריות ועל דעת הכותב בלבד
ben222  לחץ כאן להצגת דירוג המשתמש
חבר מתאריך 14.9.08
13288 הודעות, 2 פידבק
   12:11   14.08.13   
אל הפורום  
  9. לא חסרים פרטים אחי... זאת השאלה המלאה  
בתגובה להודעה מספר 8
 
  


                                                         (ניהול: מחק תגובה)
מכתב זה והנלווה אליו, על אחריות ועל דעת הכותב בלבד
Yariv-H לחץ כאן להצגת דירוג המשתמש
חבר מתאריך 24.3.02
5879 הודעות, 1 פידבק
   12:49   14.08.13   
אל הפורום  
  10. אז זו לא הסתברות בינומית .  
בתגובה להודעה מספר 9
 
   הסתברות בינומית זה כאשר אתה בוחר קבוצת מדגם מתוך קבוצה נתונה .


                                                         (ניהול: מחק תגובה)
מכתב זה והנלווה אליו, על אחריות ועל דעת הכותב בלבד
ben222  לחץ כאן להצגת דירוג המשתמש
חבר מתאריך 14.9.08
13288 הודעות, 2 פידבק
   13:02   14.08.13   
אל הפורום  
  12. אמרו לך שהקבוצה הנתונה היא 5  
בתגובה להודעה מספר 10
 
  


                                                         (ניהול: מחק תגובה)
מכתב זה והנלווה אליו, על אחריות ועל דעת הכותב בלבד
Yariv-H לחץ כאן להצגת דירוג המשתמש
חבר מתאריך 24.3.02
5879 הודעות, 1 פידבק
   15:15   14.08.13   
אל הפורום  
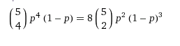
  13. אההה  
בתגובה להודעה מספר 12
 
   http://rotter.name/User_files/nor/520b74d57a5807a2.jpg


                                                         (ניהול: מחק תגובה)
מכתב זה והנלווה אליו, על אחריות ועל דעת הכותב בלבד
ben222  לחץ כאן להצגת דירוג המשתמש
חבר מתאריך 14.9.08
13288 הודעות, 2 פידבק
   13:01   14.08.13   
אל הפורום  
  11. קבלו ביטול :D הצלחתי  
בתגובה להודעה מספר 0
 
  


                                                         (ניהול: מחק תגובה)
מכתב זה והנלווה אליו, על אחריות ועל דעת הכותב בלבד

תגובה מהירה  למכתב מספר: 
 
___________________________________________________________________

___________________________________________________________________
למנהלים:  נעל | תייק בארכיון | מחק | העבר לפורום אחר | מחק תגובות | עגן אשכול
       
דרג לפי חשיבות הנושא  דרג לפי חשיבות הנושא   



© כל הזכויות שמורות ל-רוטר.נט בע"מ rotter.net