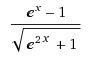
למי שיש נאווה אלמוג 007- מבחן 13 תרגיל 5 סעיף ג'למי שאין-
http://i295.photobucket.com/albums/mm137/G_M3/d3938633.jpg
למצוא את השטח הכלוא המסתובב סביב ציר ה-X בין 0 ל-1
נראה כמו הצבה אבל זה לא
אם למישהו יש מושג הוא מקבל מסטיק ואת ההכרת תודה שלי

https://www.nanocake.com/forums/
https://ghostszone.blogsome.com/