יומן פעילות
לוח שנה
מבזקי חדשות
תקנון
RSS
כותרות
כותרות לפי תגובה
ניקוי קוקיז
IP
להורדת אפליקציה
בחר פורום
שיחות
ביטקוין ומטבעות קריפטו
כושר ופיתוח גוף
לימודים
צרכנות
הרגע קניתי
שיווק שותפים
כלכלה
בני ה-20
מודיעין
משחקים
תוכנה
חומרה
תיכנות
סמארטפונים
Downloads
שיתוף
מוזיקה
סרטים
צילום
מוטוריקה
לובי
eBay
AliExpress
GearBest
Amazon
Booking
Kiwi
SkyScanner
Trip Advisor
"אשמח לעזרה בשאלה בקשר לחוקי חזקות (רמה פסיכומטרית)"
גירסת הדפסה
קבוצות דיון
לימודים, מדע ותרבות
נושא #20097
מנהל
סגן המנהל
מפקח
Winner
צל"ש
מומחה
אשכול מספר 20097
כמה עוד
חבר מתאריך 18.11.09
234 הודעות
,
11 פידבק
12:26
18.06.13
אשמח לעזרה בשאלה בקשר לחוקי חזקות (רמה פסיכומטרית)
http://rotter.name/User_files/nor/51c027ad52e4e5b7.jpg
תשובה סופית 4
תודה מראש, אלון
שתף
ציוץ
מכתב זה והנלווה אליו, על אחריות ועל דעת הכותב בלבד
האשכול
מחבר
תאריך כתיבה
מספר
פתרון
Hybrid
18.06.13
12:44
1
תודה רבה
כמה עוד
18.06.13
15:10
2
אתה יכול להציב גם a=2, b=2... ולראות שזה יוצא פשוט x
meialua
19.06.13
21:08
3
Hybrid
חבר מתאריך 13.1.14
20 הודעות
12:44
18.06.13
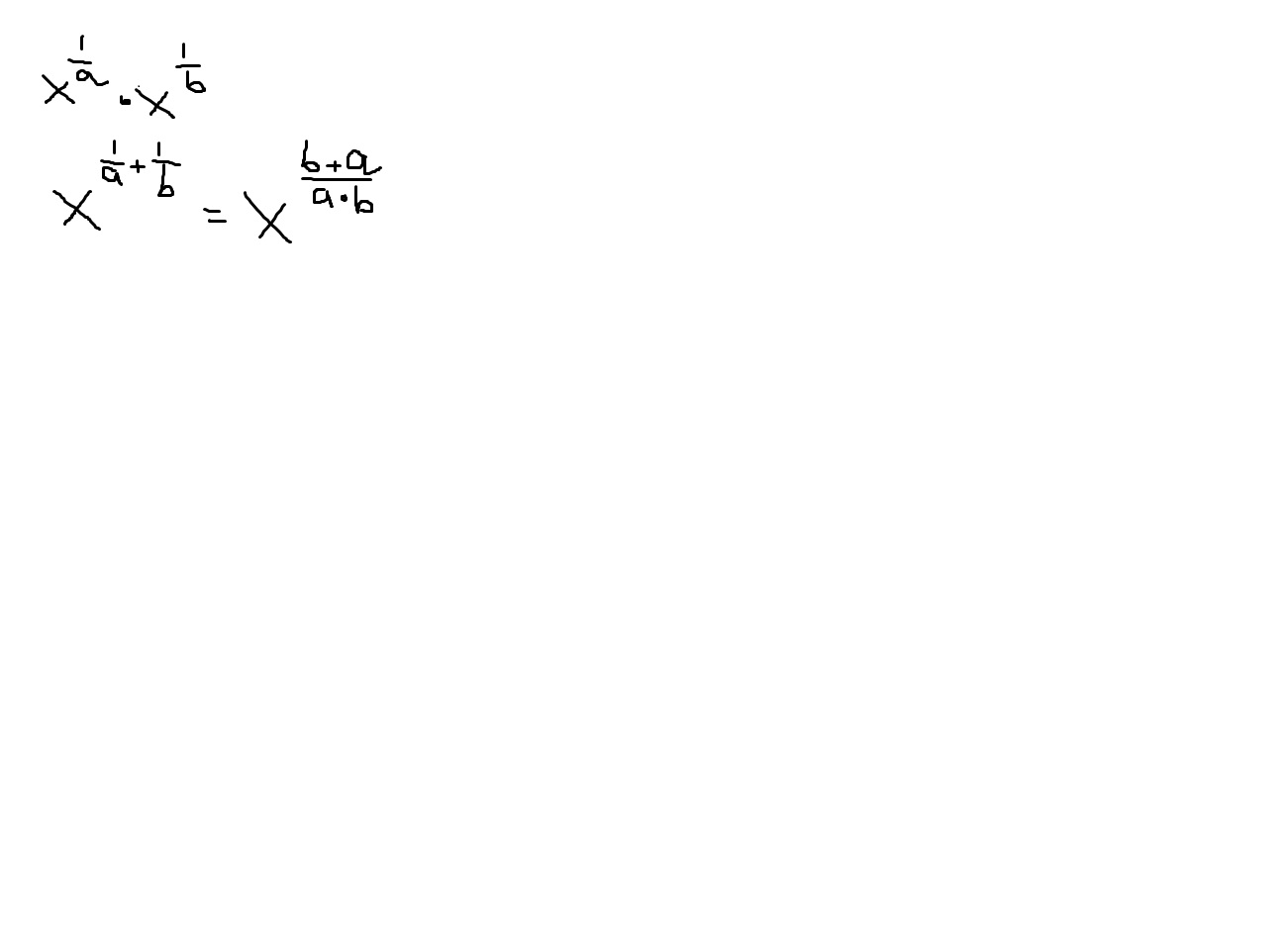
1. פתרון
בתגובה להודעה מספר 0
מקווה שתבין את הפתרון..
מצטער שזה נראה קצת מעפן.
ובסוף זה יוצא X כי המונה והמכנה שווים לפי הנתון .
http://rotter.name/User_files/nor/51c02b76678a5936.jpg
בהצלחה !
(ניהול: מחק תגובה)
מכתב זה והנלווה אליו, על אחריות ועל דעת הכותב בלבד
כמה עוד
חבר מתאריך 18.11.09
234 הודעות
,
11 פידבק
15:10
18.06.13
2. תודה רבה
בתגובה להודעה מספר 1
(ניהול: מחק תגובה)
מכתב זה והנלווה אליו, על אחריות ועל דעת הכותב בלבד
meialua
21:08
19.06.13
3. אתה יכול להציב גם a=2, b=2... ולראות שזה יוצא פשוט x
בתגובה להודעה מספר 0
(ניהול: מחק תגובה)
מכתב זה והנלווה אליו, על אחריות ועל דעת הכותב בלבד
תגובה מהירה
למכתב מספר:
0 - הכותרת
1
2
3
___________________________________________________________________
___________________________________________________________________
למנהלים:
נעל
|
תייק בארכיון
|
מחק
|
העבר לפורום אחר
|
מחק תגובות
|
עגן אשכול
בחר פורום
שיחות
ביטקוין ומטבעות קריפטו
כושר ופיתוח גוף
לימודים
צרכנות
הרגע קניתי
כלכלה
בני ה-20
מודיעין
משחקים
תוכנה
חומרה
תיכנות
סמארטפונים
Downloads
שיתוף
מוזיקה
סרטים
צילום
מוטוריקה
לובי
© כל הזכויות שמורות ל-רוטר.נט בע"מ
rotter.net