ABA


"עזרה בשאלה במתמטיקה (מערכת של 2 משוואות )"
גירסת הדפסה        
קבוצות דיון לימודים, מדע ותרבות נושא #20188 מנהל    סגן המנהל    מפקח   Winner    צל"ש   מומחה  
אשכול מספר 20188
aBCe 
חבר מתאריך 17.6.04
2381 הודעות
   16:03   24.07.13   
אל הפורום  
  עזרה בשאלה במתמטיקה (מערכת של 2 משוואות )  
 
http://go.ruppin.ac.il/BA/EconomicsAndManagement/Documents/%D7%9E%D7%91%D7%97%D7%9F%20%D7%9C%D7%93%D7%95%D7%92%D7%9E%D7%90.pdf

שאלה מספר 2. תודה רבה !


                                שתף        
מכתב זה והנלווה אליו, על אחריות ועל דעת הכותב בלבד

  האשכול     מחבר     תאריך כתיבה     מספר  
  בבקשה eminem 24.07.13 16:26 1
     תודה רבה! aBCe  24.07.13 17:17 2
         ברור שאפשר בלי זה, עושים את המעברים האלו לשם נוחות eminem 24.07.13 18:04 3

       
eminem
חבר מתאריך 14.11.03
4348 הודעות, 1 פידבק
   16:26   24.07.13   
אל הפורום  
  1. בבקשה  
בתגובה להודעה מספר 0
 
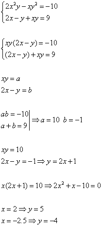
   http://rotter.name/User_files/nor/51efd606189d9ecd.gif


                                                         (ניהול: מחק תגובה)
מכתב זה והנלווה אליו, על אחריות ועל דעת הכותב בלבד
aBCe 
חבר מתאריך 17.6.04
2381 הודעות
   17:17   24.07.13   
אל הפורום  
  2. תודה רבה!  
בתגובה להודעה מספר 1
 
ערכתי לאחרונה בתאריך 24.07.13 בשעה 17:27 בברכה, aBCe
 
תוכל להרחיב על השימוש ב a , b מתי נעשה אותו? האם היה אפשר גם בלעדי זה? פשוט אני מנסה ללמוד לבד את החומר הזה ולא מצאתי דוגמה דומה לזאת בספרים.
ואיך יודעים בקטע הרביעי אם הa 10 או ה b ? וכנ"ל ה -1 . או שזה לא משנה?
תודה רבה!


                                                         (ניהול: מחק תגובה)
מכתב זה והנלווה אליו, על אחריות ועל דעת הכותב בלבד
eminem
חבר מתאריך 14.11.03
4348 הודעות, 1 פידבק
   18:04   24.07.13   
אל הפורום  
  3. ברור שאפשר בלי זה, עושים את המעברים האלו לשם נוחות  
בתגובה להודעה מספר 2
 
  


                                                         (ניהול: מחק תגובה)
מכתב זה והנלווה אליו, על אחריות ועל דעת הכותב בלבד

תגובה מהירה  למכתב מספר: 
 
___________________________________________________________________

___________________________________________________________________
למנהלים:  נעל | תייק בארכיון | מחק | העבר לפורום אחר | מחק תגובות | עגן אשכול
       



© כל הזכויות שמורות ל-רוטר.נט בע"מ rotter.net