ABA


"שאלה מתמטית אשמח לעזרה מהטובים בגיאומטריה...."
גירסת הדפסה        
קבוצות דיון לימודים, מדע ותרבות נושא #20196 מנהל    סגן המנהל    מפקח   Winner    צל"ש   מומחה  
אשכול מספר 20196
onso לחץ כאן להצגת דירוג המשתמש
חבר מתאריך 16.4.03
32296 הודעות, 4 פידבק
   10:59   02.08.13   
אל הפורום  
  שאלה מתמטית אשמח לעזרה מהטובים בגיאומטריה....  
 
   נתונה תיבה:
http://rotter.name/User_files/nor/51fb6690625017b5.jpg

נתון:
גובהה h
היקף מלבן בסיסה (abcd) שווה ל- P
ונתון אלכסון הבסיס שהוא (mcos(a
כאשר m גם נתון והוא האכלסון שמצוייר בציור..
וגם הזווית a נתונה

צריך לחשב את נפח התיבה...shoot.


                                שתף        
מכתב זה והנלווה אליו, על אחריות ועל דעת הכותב בלבד

  האשכול     מחבר     תאריך כתיבה     מספר  
  מכתב כמה עוד 02.08.13 11:06 1
     הגובה כבר נתון h לא צריך שום סינוס... onso 03.08.13 01:17 3
         צודק, וואלה לא יודע איך להמשיך כמה עוד 03.08.13 11:39 5
             וואלה צודק הנה הפתרון: onso 04.08.13 01:52 6
  בבסיס התיבה Yoni 02.08.13 16:59 2
     איך אתה מחלץ את מכפלת האורכים? אתה תקוע עם כל צלע בנפרד בריבוע onso 03.08.13 01:21 4

       
כמה עוד לחץ כאן להצגת דירוג המשתמש
חבר מתאריך 18.11.09
483 הודעות, 11 פידבק
   11:06   02.08.13   
אל הפורום  
  1. מכתב  
בתגובה להודעה מספר 0
 
   ערכתי לאחרונה בתאריך 02.08.13 בשעה 11:12 בברכה, כמה עוד
 
נפח התיבה שווה למכפלת שטח המלבן בסיס כפול h
היקף המלבן שווה ל P אז אם אני רוצה 2 צלעות מתוך המלבן אני מחלק את ההיקף ב2 (זה הסבר קצת מקוצר כי אני מאמין שאתה מכיר את זה, אם לא תבקש ואני ארחיב)
עכשיו יש לי 2 צלעות צמודות, אני מכפיל ביניהן ומקבל את שטח הבסיס

לגבי הגובה, יש לך את היתר ויש לך זוית (במשולש ישר זוית) תעשה שם sin ותקבל את הגובה b'b


                                                         (ניהול: מחק תגובה)
מכתב זה והנלווה אליו, על אחריות ועל דעת הכותב בלבד
onso לחץ כאן להצגת דירוג המשתמש
חבר מתאריך 16.4.03
32296 הודעות, 4 פידבק
   01:17   03.08.13   
אל הפורום  
  3. הגובה כבר נתון h לא צריך שום סינוס...  
בתגובה להודעה מספר 1
 
   לגבי המלבן אם אתה מחלק את ההיקף p ל-2 אתה מקבל סכום של 2 צלעות סמוכות..לא הבנתי איך אתה "מכפיל" את הצלעות אם אתה לא יודע אותם
נגיד סכומם יכול להיות 10 (אבל כל צלע בפני עצמה אתה לא יודע מה היא, יכול להיות אינסוף צירופים)


                                                         (ניהול: מחק תגובה)
מכתב זה והנלווה אליו, על אחריות ועל דעת הכותב בלבד
כמה עוד לחץ כאן להצגת דירוג המשתמש
חבר מתאריך 18.11.09
483 הודעות, 11 פידבק
   11:39   03.08.13   
אל הפורום  
  5. צודק, וואלה לא יודע איך להמשיך  
בתגובה להודעה מספר 3
 
   אפשר אולי לעשות מערכת של 2 משוואות
a+b=p/2
ועוד משוואה של פיתגורס במשולש שנוצר במלבן בסיס..


                                                         (ניהול: מחק תגובה)
מכתב זה והנלווה אליו, על אחריות ועל דעת הכותב בלבד
onso לחץ כאן להצגת דירוג המשתמש
חבר מתאריך 16.4.03
32296 הודעות, 4 פידבק
   01:52   04.08.13   
אל הפורום  
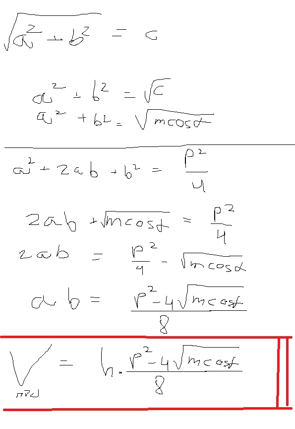
  6. וואלה צודק הנה הפתרון:  
בתגובה להודעה מספר 5
 
   http://rotter.name/User_files/nor/51fd899d78033dff.jpg

יפה הבאת את הכיוון


                                                         (ניהול: מחק תגובה)
מכתב זה והנלווה אליו, על אחריות ועל דעת הכותב בלבד
Yoni
חבר מתאריך 26.5.02
2305 הודעות
   16:59   02.08.13   
אל הפורום  
  2. בבסיס התיבה  
בתגובה להודעה מספר 0
 
   אתה יודע למה שווה סכום אורכים של שתי צלעות סמוכות.
אתה יודע למה שווה סכום ריבועי האורכים. (פתגורס)
מכאן אתה יכול לחלץ את מכפלת האורכים, ונשאר רק להכפיל בגובה.


                                                         (ניהול: מחק תגובה)
מכתב זה והנלווה אליו, על אחריות ועל דעת הכותב בלבד
onso לחץ כאן להצגת דירוג המשתמש
חבר מתאריך 16.4.03
32296 הודעות, 4 פידבק
   01:21   03.08.13   
אל הפורום  
  4. איך אתה מחלץ את מכפלת האורכים? אתה תקוע עם כל צלע בנפרד בריבוע  
בתגובה להודעה מספר 2
 
   a+b = p/2
a+b)^2 = p^2/4)
a^2 + 2ab + b^2 = p^2/4

איך אני מבטא חזרה את a^2 ו- b^2 ?


                                                         (ניהול: מחק תגובה)
מכתב זה והנלווה אליו, על אחריות ועל דעת הכותב בלבד

תגובה מהירה  למכתב מספר: 
 
___________________________________________________________________

___________________________________________________________________
למנהלים:  נעל | תייק בארכיון | מחק | העבר לפורום אחר | מחק תגובות | עגן אשכול
       
דרג לפי חשיבות הנושא  דרג לפי חשיבות הנושא   



© כל הזכויות שמורות ל-רוטר.נט בע"מ rotter.net