עשיתי פה איזה משהו lame ככה מהדברים שאני זוכר בראש
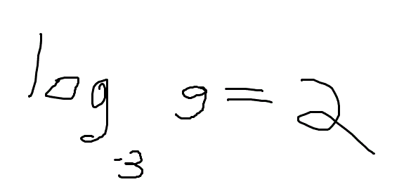
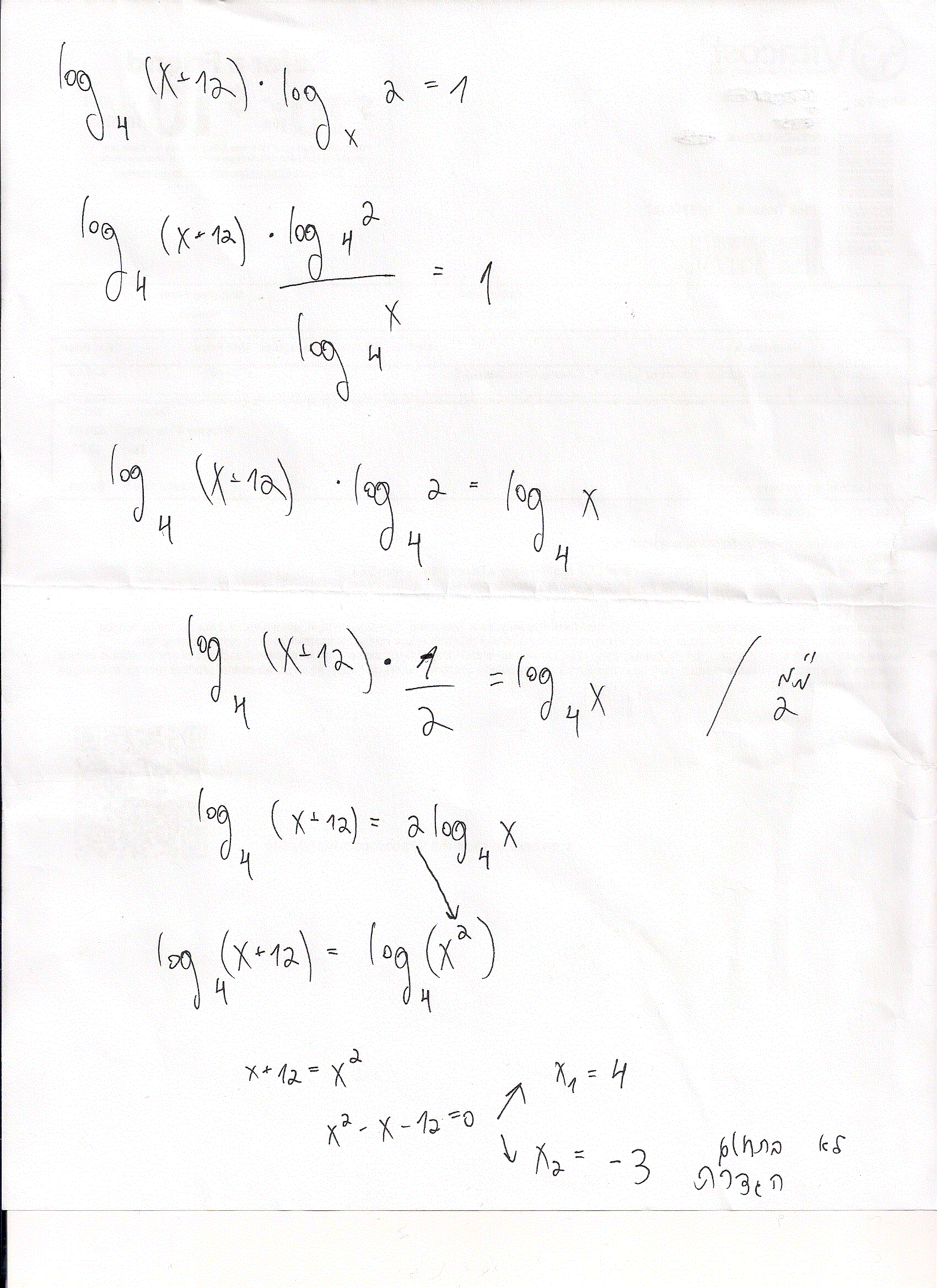
התשובה מינוס 3 נפסלה לי בגלל התחום הגדרה, שאני לא יודע להסביר בידיוק למה אסור שהבסיס יהיה מינוס. אם תוכל להסביר לי אני אשמח. פשוט פסלתי את זה כי אמרת שתשובה הסופית היא רק 4 ולא גם מינוס 3.להוריד סולמית
http://rotter.name/User_files/nor/522b066b74fd095c.gi#f
