ABA


"גבול של סדרה - עזרה"
גירסת הדפסה        
קבוצות דיון לימודים, מדע ותרבות נושא #20420 מנהל    סגן המנהל    מפקח   Winner    צל"ש   מומחה  
אשכול מספר 20420
nimroder לחץ כאן להצגת דירוג המשתמש
חבר מתאריך 25.9.09
8557 הודעות, 4 פידבק
   06:36   08.11.13   
אל הפורום  
  גבול של סדרה - עזרה  
 
   יש לי שאלה בשיעורי בית שאני פשוט שובר עליה את הראש ולא מצליח להבין
נתונה הסדרה וצריכים למצוא לה את הגבול (כל משפט תופס)
a(n)=
(1*2*3*4***n) - מונה
(n+1)(n+2)(n+3)***(2n) - מכנה

מה שהגעתי שבסופו של דבר זה מגיע איכשהו לסדרה 1 חלקי 2 בחזקת n

אבל אין לי שמץ של מושג איך לפרק את המונה והמכנה לביטויים נוחים יותר למציאת גבול

תודה


                                שתף        
מכתב זה והנלווה אליו, על אחריות ועל דעת הכותב בלבד

  האשכול     מחבר     תאריך כתיבה     מספר  
  איך יצא לך חזקת n אחי? כמה עוד 08.11.13 09:32 1
  אני לא כזה מבין בזה (גם כן לומד עכשיו חדוא 1) כמה עוד 08.11.13 09:38 2
  מבחן המנה למדתם? (לא בדקתי אבל זה נראה לי מתאים...) ohadeytan 08.11.13 11:13 3
     מה זה? nimroder 08.11.13 14:08 5
  הפתרון זה כלל הסנדוויץ... פשוט חשבתי שיש דרך לפרק אותם לביטויים נורמלים יותר nimroder 08.11.13 14:08 4
  לא יותר פשוט לבטא את המונה והמכנה בתור סכום ולהראות שה-n מצטמצם? Bar  08.11.13 14:25 6
     מן הסתם שזו עוד דרך... אבל זה סתם מסתבך nimroder 09.11.13 10:12 8
  איך סיימת את זה בסוף? תגיד, לא יעבוד פה טוב השיטה של an+1 חלקי an? כמה עוד 09.11.13 02:15 7
     הנה אחי nimroder 09.11.13 10:15 9
         תודה כמה עוד 09.11.13 10:44 10

       
כמה עוד לחץ כאן להצגת דירוג המשתמש
חבר מתאריך 18.11.09
234 הודעות, 11 פידבק
   09:32   08.11.13   
אל הפורום  
  1. איך יצא לך חזקת n אחי?  
בתגובה להודעה מספר 0
 
  


                                                         (ניהול: מחק תגובה)
מכתב זה והנלווה אליו, על אחריות ועל דעת הכותב בלבד
כמה עוד לחץ כאן להצגת דירוג המשתמש
חבר מתאריך 18.11.09
234 הודעות, 11 פידבק
   09:38   08.11.13   
אל הפורום  
  2. אני לא כזה מבין בזה (גם כן לומד עכשיו חדוא 1)  
בתגובה להודעה מספר 0
 
   ערכתי לאחרונה בתאריך 08.11.13 בשעה 09:43 בברכה, כמה עוד
 
לדעתי זאת הדרך לפתרון של התרגיל הזה (משום מה אני זוכר שפתרתי דבר כזה בסגנון אבל לא מוצא במחברת תרגול את הפתרון)
זה הכיוון אבל זה לא הכל
מקווה שמישהו כאן יעיף מבט ויגיד אם זה סבבה או לא

צריך להוריד סולמית כדי לראות את התמונה
http://rotter.name/User_files/nor/527c94ea2179b32f.jp#g


                                                         (ניהול: מחק תגובה)
מכתב זה והנלווה אליו, על אחריות ועל דעת הכותב בלבד
ohadeytan לחץ כאן להצגת דירוג המשתמש
חבר מתאריך 7.8.06
617 הודעות, 3 פידבק
   11:13   08.11.13   
אל הפורום  
  3. מבחן המנה למדתם? (לא בדקתי אבל זה נראה לי מתאים...)  
בתגובה להודעה מספר 0
 
  


                                                         (ניהול: מחק תגובה)
מכתב זה והנלווה אליו, על אחריות ועל דעת הכותב בלבד
nimroder לחץ כאן להצגת דירוג המשתמש
חבר מתאריך 25.9.09
8557 הודעות, 4 פידבק
   14:08   08.11.13   
אל הפורום  
  5. מה זה?  
בתגובה להודעה מספר 3
 
  


                                                         (ניהול: מחק תגובה)
מכתב זה והנלווה אליו, על אחריות ועל דעת הכותב בלבד
nimroder לחץ כאן להצגת דירוג המשתמש
חבר מתאריך 25.9.09
8557 הודעות, 4 פידבק
   14:08   08.11.13   
אל הפורום  
  4. הפתרון זה כלל הסנדוויץ... פשוט חשבתי שיש דרך לפרק אותם לביטויים נורמלים יותר  
בתגובה להודעה מספר 0
 
  


                                                         (ניהול: מחק תגובה)
מכתב זה והנלווה אליו, על אחריות ועל דעת הכותב בלבד
Bar  לחץ כאן להצגת דירוג המשתמש
חבר מתאריך 24.3.02
24027 הודעות, 7 פידבק
   14:25   08.11.13   
אל הפורום  
  6. לא יותר פשוט לבטא את המונה והמכנה בתור סכום ולהראות שה-n מצטמצם?  
בתגובה להודעה מספר 0
 
   ערכתי לאחרונה בתאריך 08.11.13 בשעה 14:29 בברכה, Bar
 
אולי אני סתם זורק שטויות לאוויר, כי אני רק תלמיד מכינה


He who makes a beast out of himself,
gets rid of the pain of being a man.


                                                         (ניהול: מחק תגובה)
מכתב זה והנלווה אליו, על אחריות ועל דעת הכותב בלבד
nimroder לחץ כאן להצגת דירוג המשתמש
חבר מתאריך 25.9.09
8557 הודעות, 4 פידבק
   10:12   09.11.13   
אל הפורום  
  8. מן הסתם שזו עוד דרך... אבל זה סתם מסתבך  
בתגובה להודעה מספר 6
 
  


                                                         (ניהול: מחק תגובה)
מכתב זה והנלווה אליו, על אחריות ועל דעת הכותב בלבד
כמה עוד לחץ כאן להצגת דירוג המשתמש
חבר מתאריך 18.11.09
234 הודעות, 11 פידבק
   02:15   09.11.13   
אל הפורום  
  7. איך סיימת את זה בסוף? תגיד, לא יעבוד פה טוב השיטה של an+1 חלקי an?  
בתגובה להודעה מספר 0
 
  


                                                         (ניהול: מחק תגובה)
מכתב זה והנלווה אליו, על אחריות ועל דעת הכותב בלבד
nimroder לחץ כאן להצגת דירוג המשתמש
חבר מתאריך 25.9.09
8557 הודעות, 4 פידבק
   10:15   09.11.13   
אל הפורום  
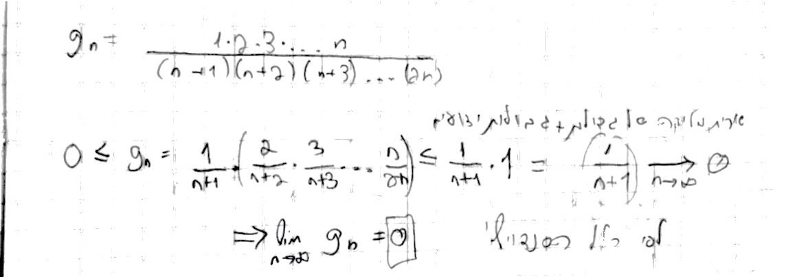
  9. הנה אחי  
בתגובה להודעה מספר 7
 
   http://rotter.name/User_files/nor/527def2f3298d1dd.jpg


                                                         (ניהול: מחק תגובה)
מכתב זה והנלווה אליו, על אחריות ועל דעת הכותב בלבד
כמה עוד לחץ כאן להצגת דירוג המשתמש
חבר מתאריך 18.11.09
234 הודעות, 11 פידבק
   10:44   09.11.13   
אל הפורום  
  10. תודה  
בתגובה להודעה מספר 9
 
   ערכתי לאחרונה בתאריך 09.11.13 בשעה 11:13 בברכה, כמה עוד
 


                                                         (ניהול: מחק תגובה)
מכתב זה והנלווה אליו, על אחריות ועל דעת הכותב בלבד

תגובה מהירה  למכתב מספר: 
 
___________________________________________________________________

___________________________________________________________________
למנהלים:  נעל | תייק בארכיון | מחק | העבר לפורום אחר | מחק תגובות | עגן אשכול
       



© כל הזכויות שמורות ל-רוטר.נט בע"מ rotter.net