ABA


"צריך עזרה בסעיף בתרגיל בבדידיה 1.-תחשיב הפרדיקטים(מצורפת תמונה)"
גירסת הדפסה        
קבוצות דיון לימודים, מדע ותרבות נושא #20445 מנהל    סגן המנהל    מפקח   Winner    צל"ש   מומחה  
אשכול מספר 20445
Fstyle
חבר מתאריך 24.5.05
357 הודעות
   16:11   21.11.13   
אל הפורום  
  צריך עזרה בסעיף בתרגיל בבדידיה 1.-תחשיב הפרדיקטים(מצורפת תמונה)  
 
http://rotter.name/User_files/nor/528e1403035ed524.jpg

השאלה שלי היא לגבי סעיף ה

ראיתי שהאני לא יכול להפריך. (יכול להיות שאני טועה)
אבל אני לא סגור על ההוכחה, האם להשתמש פשוט בUI וUG לX כלשהו?

אם מישהו יכול לשפוך לי קצת אור על הסעיף הזה אני אודה לו!

שבת שלום!


                                שתף        
מכתב זה והנלווה אליו, על אחריות ועל דעת הכותב בלבד

  האשכול     מחבר     תאריך כתיבה     מספר  
  מכתב Dj EreZ 21.11.13 21:05 1
     תודה אחי אבל (וסליחה על הטימטום) לא הבנתי עדיין את ההפרכה הרי הם טענו שם שערך Fstyle 21.11.13 21:49 2
         FALSE גורר הכל זה נכון, תזכור 'אם לסבתא היום גלגלים' :-) כובען  21.11.13 21:59 3
             זה מה שאמרתי אבל בתשובות פה שהוא נתן זה לא ברור לי הנה הסבר בתמונה Fstyle 21.11.13 22:08 4
                 anybody? Fstyle 23.11.13 20:26 5
                     לא הבנתי מה שכתבת מתחת לתמונה כובען  23.11.13 21:00 6
                         אני אחדד Fstyle 24.11.13 17:50 7
                             יכול להיות שאני מתבלבל, אבל מה שכתוב שם במילים זה: כובען  24.11.13 20:44 8
                                 מכתב Fstyle 25.11.13 08:52 9
                                     אני מניח שאתה יכול להתייחס לנקודותיים בתור התייחסות לכל הפסוק כובען  26.11.13 09:39 10
                                         תודה על העזרה! הלכתי למתרגלת ושאלתי אותה ובאמת הבעיה שלי היתה Fstyle 26.11.13 09:43 11
                                             בשמחה, אל תתבייש לפנות למתרגלים וללכת לשעת קבלה של המרצה. הם בד''כ שמחים לעזור כובען  27.11.13 01:20 12

       
Dj EreZ
חבר מתאריך 17.3.10
409 הודעות
   21:05   21.11.13   
אל הפורום  
  1. מכתב  
בתגובה להודעה מספר 0
 
   תהנה: http://www59.zippyshare.com/v/95148086/file.html

עמוד אחרון ;)


                                                         (ניהול: מחק תגובה)
מכתב זה והנלווה אליו, על אחריות ועל דעת הכותב בלבד
Fstyle
חבר מתאריך 24.5.05
357 הודעות
   21:49   21.11.13   
אל הפורום  
  2. תודה אחי אבל (וסליחה על הטימטום) לא הבנתי עדיין את ההפרכה הרי הם טענו שם שערך  
בתגובה להודעה מספר 1
 
האמת של הפסוק לכל x : x > 0 הוא F
והמורה אמר לנו שכשיש F גורר משהו אז כל הפסוק הוא TRUE ...

אז זה יוצא T בשניהם


                                                         (ניהול: מחק תגובה)
מכתב זה והנלווה אליו, על אחריות ועל דעת הכותב בלבד
כובען  לחץ כאן להצגת דירוג המשתמש
חבר מתאריך 2.3.10
24350 הודעות, 21 פידבק
   21:59   21.11.13   
אל הפורום  
  3. FALSE גורר הכל זה נכון, תזכור 'אם לסבתא היום גלגלים' :-)  
בתגובה להודעה מספר 2
 


                                                         (ניהול: מחק תגובה)
מכתב זה והנלווה אליו, על אחריות ועל דעת הכותב בלבד
Fstyle
חבר מתאריך 24.5.05
357 הודעות
   22:08   21.11.13   
אל הפורום  
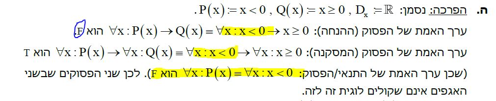
  4. זה מה שאמרתי אבל בתשובות פה שהוא נתן זה לא ברור לי הנה הסבר בתמונה  
בתגובה להודעה מספר 3
 
http://rotter.name/User_files/nor/528e680441404194.jpg

סימנתי שם את העניים שלכל X כך ש X<0 מראים שזה F אז בצד שמאל זה גם F גורר משהו זה אמור להיות נכון ולא F כמו שהם אמרו שם (מסומן בכחול)


                                                         (ניהול: מחק תגובה)
מכתב זה והנלווה אליו, על אחריות ועל דעת הכותב בלבד
Fstyle
חבר מתאריך 24.5.05
357 הודעות
   20:26   23.11.13   
אל הפורום  
  5. anybody?  
בתגובה להודעה מספר 4
 


                                                         (ניהול: מחק תגובה)
מכתב זה והנלווה אליו, על אחריות ועל דעת הכותב בלבד
כובען  לחץ כאן להצגת דירוג המשתמש
חבר מתאריך 2.3.10
24350 הודעות, 21 פידבק
   21:00   23.11.13   
אל הפורום  
  6. לא הבנתי מה שכתבת מתחת לתמונה  
בתגובה להודעה מספר 5
 


                                                         (ניהול: מחק תגובה)
מכתב זה והנלווה אליו, על אחריות ועל דעת הכותב בלבד
Fstyle
חבר מתאריך 24.5.05
357 הודעות
   17:50   24.11.13   
אל הפורום  
  7. אני אחדד  
בתגובה להודעה מספר 6
 
השאלה שלי היא למה ההנחה היא FALSE (מה שסימנתי בכחול)
אם אמרו שערך האמת של התנאי הוא FALSE וידוע ש FALSE גורר משהו זה TRUE.
אז ההנחה אמורה להיות TRUE.
זה לא מסתדר לי.

תודה על ההעזרה


                                                         (ניהול: מחק תגובה)
מכתב זה והנלווה אליו, על אחריות ועל דעת הכותב בלבד
כובען  לחץ כאן להצגת דירוג המשתמש
חבר מתאריך 2.3.10
24350 הודעות, 21 פידבק
   20:44   24.11.13   
אל הפורום  
  8. יכול להיות שאני מתבלבל, אבל מה שכתוב שם במילים זה:  
בתגובה להודעה מספר 7
 
לכל X, אם X קטן מ-0 אז X גדול או שווה ל-0, זה כמובן FALSE.

שוב, אם אני לא טועה, הלכל מתייחס ל'תחום ההגדרה' של הפרדיקט P.


                                                         (ניהול: מחק תגובה)
מכתב זה והנלווה אליו, על אחריות ועל דעת הכותב בלבד
Fstyle
חבר מתאריך 24.5.05
357 הודעות
   08:52   25.11.13   
אל הפורום  
  9. מכתב  
בתגובה להודעה מספר 8
 
מה שכתבת נכון. מה שמבלבל אותי זה מה שמודגש שמסומן בסוגריים.
איך אני אמור לתרגם במילים את המסקנה אם ככה? האם האיקסים בסקנה זה אותם איקסים?


                                                         (ניהול: מחק תגובה)
מכתב זה והנלווה אליו, על אחריות ועל דעת הכותב בלבד
כובען  לחץ כאן להצגת דירוג המשתמש
חבר מתאריך 2.3.10
24350 הודעות, 21 פידבק
   09:39   26.11.13   
אל הפורום  
  10. אני מניח שאתה יכול להתייחס לנקודותיים בתור התייחסות לכל הפסוק  
בתגובה להודעה מספר 9
 


                                                         (ניהול: מחק תגובה)
מכתב זה והנלווה אליו, על אחריות ועל דעת הכותב בלבד
Fstyle
חבר מתאריך 24.5.05
357 הודעות
   09:43   26.11.13   
אל הפורום  
  11. תודה על העזרה! הלכתי למתרגלת ושאלתי אותה ובאמת הבעיה שלי היתה  
בתגובה להודעה מספר 10
 
שלא שמתי לב לעניין המשתנים הקשורים.
העיקר שעכשיו זה ברור לי, תודה רבה


                                                         (ניהול: מחק תגובה)
מכתב זה והנלווה אליו, על אחריות ועל דעת הכותב בלבד
כובען  לחץ כאן להצגת דירוג המשתמש
חבר מתאריך 2.3.10
24350 הודעות, 21 פידבק
   01:20   27.11.13   
אל הפורום  
  12. בשמחה, אל תתבייש לפנות למתרגלים וללכת לשעת קבלה של המרצה. הם בד''כ שמחים לעזור  
בתגובה להודעה מספר 11
 


                                                         (ניהול: מחק תגובה)
מכתב זה והנלווה אליו, על אחריות ועל דעת הכותב בלבד

תגובה מהירה  למכתב מספר: 
 
___________________________________________________________________

___________________________________________________________________
למנהלים:  נעל | תייק בארכיון | מחק | העבר לפורום אחר | מחק תגובות | עגן אשכול
       



© כל הזכויות שמורות ל-רוטר.נט בע"מ rotter.net