יומן פעילות
לוח שנה
מבזקי חדשות
תקנון
RSS
כותרות
כותרות לפי תגובה
ניקוי קוקיז
IP
להורדת אפליקציה
בחר פורום
שיחות
ביטקוין ומטבעות קריפטו
כושר ופיתוח גוף
לימודים
צרכנות
הרגע קניתי
שיווק שותפים
כלכלה
בני ה-20
מודיעין
משחקים
תוכנה
חומרה
תיכנות
סמארטפונים
Downloads
שיתוף
מוזיקה
סרטים
צילום
מוטוריקה
לובי
eBay
AliExpress
GearBest
Amazon
Booking
Kiwi
SkyScanner
Trip Advisor
"אשמח להסבר בנוגע לגבול חדווא 1 תודה מראש"
גירסת הדפסה
קבוצות דיון
לימודים, מדע ותרבות
נושא #20452
מנהל
סגן המנהל
מפקח
Winner
צל"ש
מומחה
אשכול מספר 20452
Crazy Lion
חבר מתאריך 1.7.02
19328 הודעות
,
9 פידבק
14:22
25.11.13
אשמח להסבר בנוגע לגבול חדווא 1 תודה מראש
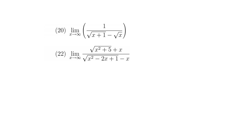
בשניהם אני לא מבין איך להגיע לתוצאה הסופית אם אפשר לראות דרך מלאה זה יעזור
http://rotter.name/User_files/nor/5293410f6df64b72.jpg
תודה מראש
מילוי סקרים בתשלום למי שמעונין ,
משלם בזמן וקל להגיע ליעד :
https://goo.gl/EJh6V2
שתף
ציוץ
מכתב זה והנלווה אליו, על אחריות ועל דעת הכותב בלבד
האשכול
מחבר
תאריך כתיבה
מספר
בראשון מכפילים בצמוד ובשני מוציאים גורם משותף
Dark-Wish
25.11.13
15:28
1
יש לך טעויות
IDAN_500
25.11.13
19:39
2
10X
Crazy Lion
27.11.13
13:57
3
Dark-Wish
חבר מתאריך 25.5.05
12576 הודעות
15:28
25.11.13
1. בראשון מכפילים בצמוד ובשני מוציאים גורם משותף
בתגובה להודעה מספר 0
http://rotter.name/User_files/nor/5293506446fe272a.jpg#
(ניהול: מחק תגובה)
מכתב זה והנלווה אליו, על אחריות ועל דעת הכותב בלבד
IDAN_500
חבר מתאריך 11.12.03
2321 הודעות
19:39
25.11.13
2. יש לך טעויות
בתגובה להודעה מספר 1
בתרגיל הראשון רשמת במכנה x-1-x למרות שזה בעצם x+1-x ואז הפיתרון הוא inf+
ובתרגיל השני על ידי כפל בצמוד תגיע ל inf-
(ניהול: מחק תגובה)
מכתב זה והנלווה אליו, על אחריות ועל דעת הכותב בלבד
Crazy Lion
חבר מתאריך 1.7.02
19328 הודעות
,
9 פידבק
13:57
27.11.13
3. 10X
בתגובה להודעה מספר 0
מילוי סקרים בתשלום למי שמעונין ,
משלם בזמן וקל להגיע ליעד :
https://goo.gl/EJh6V2
(ניהול: מחק תגובה)
מכתב זה והנלווה אליו, על אחריות ועל דעת הכותב בלבד
תגובה מהירה
למכתב מספר:
0 - הכותרת
1
2
3
___________________________________________________________________
___________________________________________________________________
למנהלים:
נעל
|
תייק בארכיון
|
מחק
|
העבר לפורום אחר
|
מחק תגובות
|
עגן אשכול
בחר פורום
שיחות
ביטקוין ומטבעות קריפטו
כושר ופיתוח גוף
לימודים
צרכנות
הרגע קניתי
כלכלה
בני ה-20
מודיעין
משחקים
תוכנה
חומרה
תיכנות
סמארטפונים
Downloads
שיתוף
מוזיקה
סרטים
צילום
מוטוריקה
לובי
© כל הזכויות שמורות ל-רוטר.נט בע"מ
rotter.net