ABA


"לינארית1 - יש מצב שיש פה טעות בשאלה?"
גירסת הדפסה        
קבוצות דיון לימודים, מדע ותרבות נושא #20477 מנהל    סגן המנהל    מפקח   Winner    צל"ש   מומחה  
אשכול מספר 20477
Fstyle
חבר מתאריך 24.5.05
357 הודעות, דרג אמינות חבר זה
   20:47   08.12.13   
אל הפורום  
  לינארית1 - יש מצב שיש פה טעות בשאלה?  
 
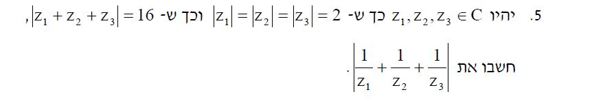
http://rotter.name/User_files/nor/52a4be4c1df1b314.jpg

נראה לי פשוט שהערך המקסימלי של Z1+Z2+Z3 הוא 6 ולא יכול להיות 16.

אז יכול להיות שיש טעות והתכוונו ל6?


                                שתף        
מכתב זה והנלווה אליו, על אחריות ועל דעת הכותב בלבד

  האשכול     מחבר     תאריך כתיבה     מספר  
  למה? zbengg 08.12.13 23:11 1
     אחי זה יוצא שורש 18 שזה שווה ל3 פעמים שורש 2 Fstyle 09.12.13 07:26 3
  יש מצב ש''+'' זו פעולה כלשהי שהיא לא חיבור? danny444 09.12.13 00:31 2
     זה פעולת חיבור מעל המרוכבים. זה עדיין תקף Fstyle 09.12.13 07:27 4
  אני מקווה שיהיה לי זמן ואעלה פיתרון היום בערב eliran005  09.12.13 09:46 5
  תודה לכולם! הפיתרון הוא סבבה אבל אכן צדקתי ויש בעיה עקרונית בשאלה Fstyle 09.12.13 21:10 6

       
zbengg
חבר מתאריך 24.9.08
2300 הודעות, דרג אמינות חבר זה
   23:11   08.12.13   
אל הפורום  
  1. למה?  
בתגובה להודעה מספר 0
 
   אני אתן לך דוגמה
z1=i+1
z2=i+1
z3=i+1
שזה לדוגמה יוצא 18
יש עוד הרבה דוגמאות כאלה


                                                         (ניהול: מחק תגובה)
מכתב זה והנלווה אליו, על אחריות ועל דעת הכותב בלבד
Fstyle
חבר מתאריך 24.5.05
357 הודעות, דרג אמינות חבר זה
   07:26   09.12.13   
אל הפורום  
  3. אחי זה יוצא שורש 18 שזה שווה ל3 פעמים שורש 2  
בתגובה להודעה מספר 1
 


                                                         (ניהול: מחק תגובה)
מכתב זה והנלווה אליו, על אחריות ועל דעת הכותב בלבד
danny444
חבר מתאריך 14.9.08
1980 הודעות, דרג אמינות חבר זה
   00:31   09.12.13   
אל הפורום  
  2. יש מצב ש''+'' זו פעולה כלשהי שהיא לא חיבור?  
בתגובה להודעה מספר 0
 
  


                                                         (ניהול: מחק תגובה)
מכתב זה והנלווה אליו, על אחריות ועל דעת הכותב בלבד
Fstyle
חבר מתאריך 24.5.05
357 הודעות, דרג אמינות חבר זה
   07:27   09.12.13   
אל הפורום  
  4. זה פעולת חיבור מעל המרוכבים. זה עדיין תקף  
בתגובה להודעה מספר 2
 


                                                         (ניהול: מחק תגובה)
מכתב זה והנלווה אליו, על אחריות ועל דעת הכותב בלבד
eliran005  לחץ כאן להצגת דירוג המשתמש
חבר מתאריך 6.6.05
32282 הודעות, 6 פידבק, 2 נקודות
   09:46   09.12.13   
אל הפורום  
  5. אני מקווה שיהיה לי זמן ואעלה פיתרון היום בערב  
בתגובה להודעה מספר 0
 
  


                                                         (ניהול: מחק תגובה)
מכתב זה והנלווה אליו, על אחריות ועל דעת הכותב בלבד
Fstyle
חבר מתאריך 24.5.05
357 הודעות, דרג אמינות חבר זה
   21:10   09.12.13   
אל הפורום  
  6. תודה לכולם! הפיתרון הוא סבבה אבל אכן צדקתי ויש בעיה עקרונית בשאלה  
בתגובה להודעה מספר 0
 
שאלתי את המרצה והיא אמרה שבאמת זה טעות כנראה התכוונו ל6 ולא ל16


                                                         (ניהול: מחק תגובה)
מכתב זה והנלווה אליו, על אחריות ועל דעת הכותב בלבד

תגובה מהירה  למכתב מספר: 
 
___________________________________________________________________

___________________________________________________________________
למנהלים:  נעל | תייק בארכיון | מחק | העבר לפורום אחר | מחק תגובות | עגן אשכול
       



© כל הזכויות שמורות ל-רוטר.נט בע"מ rotter.net