יומן פעילות
לוח שנה
מבזקי חדשות
תקנון
RSS
כותרות
כותרות לפי תגובה
ניקוי קוקיז
IP
להורדת אפליקציה
בחר פורום
שיחות
ביטקוין ומטבעות קריפטו
כושר ופיתוח גוף
לימודים
צרכנות
הרגע קניתי
שיווק שותפים
כלכלה
בני ה-20
מודיעין
משחקים
תוכנה
חומרה
תיכנות
סמארטפונים
Downloads
שיתוף
מוזיקה
סרטים
צילום
מוטוריקה
לובי
eBay
AliExpress
GearBest
Amazon
Booking
Kiwi
SkyScanner
Trip Advisor
"עזרה בשאלת בינום"
גירסת הדפסה
קבוצות דיון
לימודים, מדע ותרבות
נושא #20492
מנהל
סגן המנהל
מפקח
Winner
צל"ש
מומחה
אשכול מספר 20492
sedate1
חבר מתאריך 15.9.13
3774 הודעות
,
4 פידבק
,
6 נקודות
23:25
17.12.13
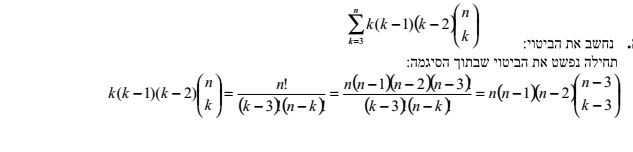
עזרה בשאלת בינום
איך הגיעו מהשווה האחד לפני אחרון לאחרון?
תודה מראש
http://rotter.name/User_files/nor/52b0c1275ba189a2.jpg
שתף
ציוץ
מכתב זה והנלווה אליו, על אחריות ועל דעת הכותב בלבד
האשכול
מחבר
תאריך כתיבה
מספר
לפי ההגדרה של n בחר k
Magic14
18.12.13
19:09
1
אמת, יש שם עצרות אבל לא רואים את זה בתמונה
Hermes
18.12.13
22:01
2
Magic14
חבר מתאריך 22.3.02
72 הודעות
,
דרג אמינות חבר זה
19:09
18.12.13
1. לפי ההגדרה של n בחר k
בתגובה להודעה מספר 0
שים לב שיש שם עצרות בדיוק על הסוגריים וקשה לראות אותן
(ניהול: מחק תגובה)
מכתב זה והנלווה אליו, על אחריות ועל דעת הכותב בלבד
Hermes
חבר מתאריך 13.4.03
30475 הודעות
,
6 פידבק
,
12 נקודות
22:01
18.12.13
2. אמת, יש שם עצרות אבל לא רואים את זה בתמונה
בתגובה להודעה מספר 1
(ניהול: מחק תגובה)
מכתב זה והנלווה אליו, על אחריות ועל דעת הכותב בלבד
תגובה מהירה
למכתב מספר:
0 - הכותרת
1
2
___________________________________________________________________
___________________________________________________________________
למנהלים:
נעל
|
תייק בארכיון
|
מחק
|
העבר לפורום אחר
|
מחק תגובות
|
עגן אשכול
בחר פורום
שיחות
ביטקוין ומטבעות קריפטו
כושר ופיתוח גוף
לימודים
צרכנות
הרגע קניתי
כלכלה
בני ה-20
מודיעין
משחקים
תוכנה
חומרה
תיכנות
סמארטפונים
Downloads
שיתוף
מוזיקה
סרטים
צילום
מוטוריקה
לובי
© כל הזכויות שמורות ל-רוטר.נט בע"מ
rotter.net